Официальное опубликование правовых актов
ОФИЦИАЛЬНОЕ ОПУБЛИКОВАНИЕ
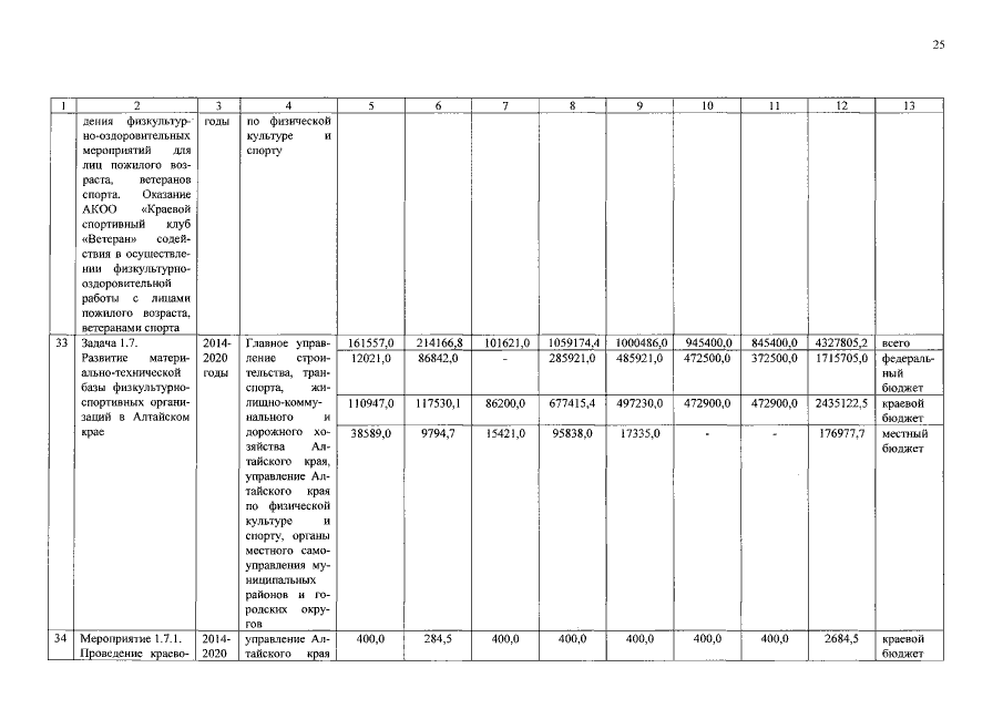
Постановление Администрации Алтайского края от 18.03.2016 № 90
"О внесении изменений в постановление Администрации края от 14.03.2014 № 112"
Номер опубликования: 2200201603230001
Дата опубликования: 23.03.2016
Страница №25 из 65:
Увеличить