Официальное опубликование правовых актов
ОФИЦИАЛЬНОЕ ОПУБЛИКОВАНИЕ
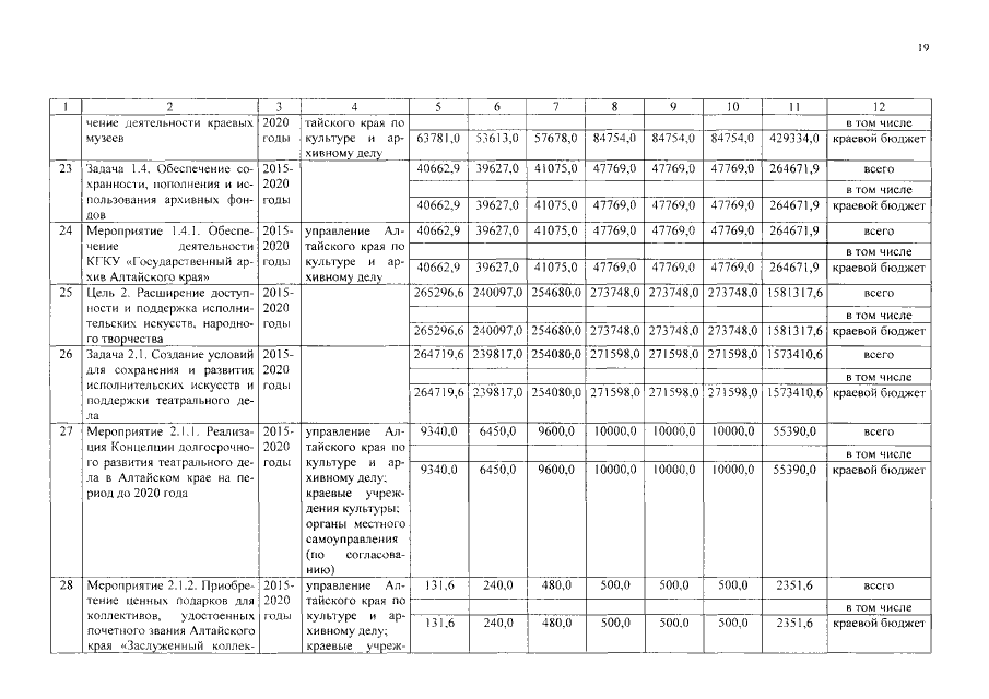
Постановление Администрации Алтайского края от 26.05.2016 № 177
"О внесении изменений в постановление Администрации края от 25.09.2014 № 435"
Номер опубликования: 2200201605300001
Дата опубликования: 30.05.2016
Страница №19 из 31:
Увеличить