Официальное опубликование правовых актов
ОФИЦИАЛЬНОЕ ОПУБЛИКОВАНИЕ
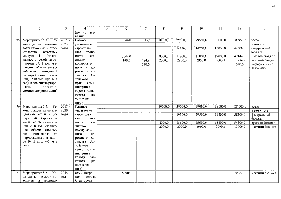
Постановление Администрации Алтайского края от 11.08.2016 № 267
"О внесении изменений в постановление Администрации края от 22.07.2014 № 340"
Номер опубликования: 2200201608160001
Дата опубликования: 16.08.2016
Страница №61 из 90:
Увеличить