Официальное опубликование правовых актов
ОФИЦИАЛЬНОЕ ОПУБЛИКОВАНИЕ
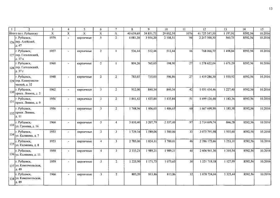
Постановление Администрации Алтайского края от 29.12.2016 № 449
"О внесении изменений в постановление Администрации края от 22.05.2015 № 198"
Номер опубликования: 2200201612300013
Дата опубликования: 30.12.2016
Страница №13 из 37:
Увеличить