Официальное опубликование правовых актов
ОФИЦИАЛЬНОЕ ОПУБЛИКОВАНИЕ
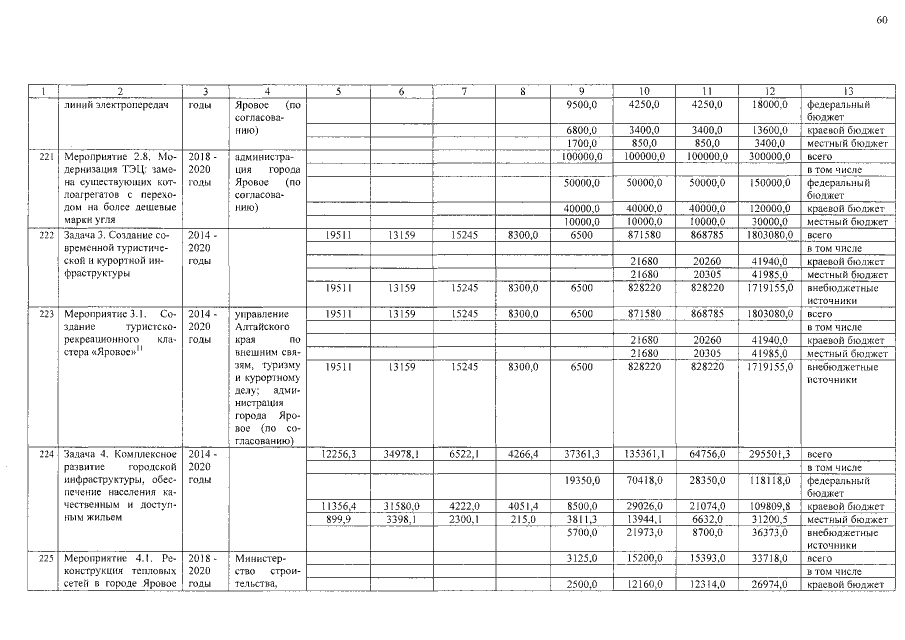
Постановление Правительства Алтайского края от 01.08.2017 № 280
"О внесении изменений в постановление Администрации края от 22.07.2014 № 340"
Номер опубликования: 2200201708020003
Дата опубликования: 02.08.2017
Страница №60 из 79:
Увеличить