Официальное опубликование правовых актов
ОФИЦИАЛЬНОЕ ОПУБЛИКОВАНИЕ
Постановление Правительства Алтайского края от 11.04.2025 № 134
"О внесении изменений в постановление Правительства Алтайского края от 27.12.2024 № 526"
(Зарегистрирован 15.04.2025 № 529)
Номер опубликования: 2200202504150003
Дата опубликования: 15.04.2025
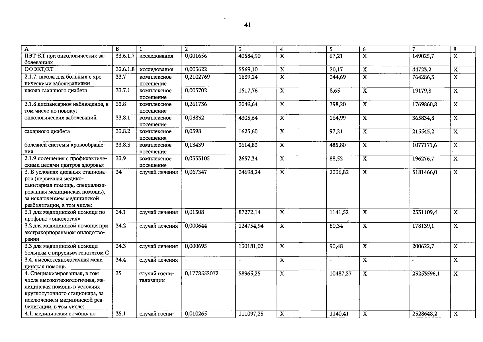
Страница №41 из 368:
Увеличить