Официальное опубликование правовых актов
ОФИЦИАЛЬНОЕ ОПУБЛИКОВАНИЕ
Постановление Правительства Алтайского края от 26.12.2025 № 512
"О внесении изменений в постановление Правительства Алтайского края от 27.12.2024 № 526"
(Зарегистрирован 29.12.2025 № 2376)
Номер опубликования: 2200202512290009
Дата опубликования: 29.12.2025
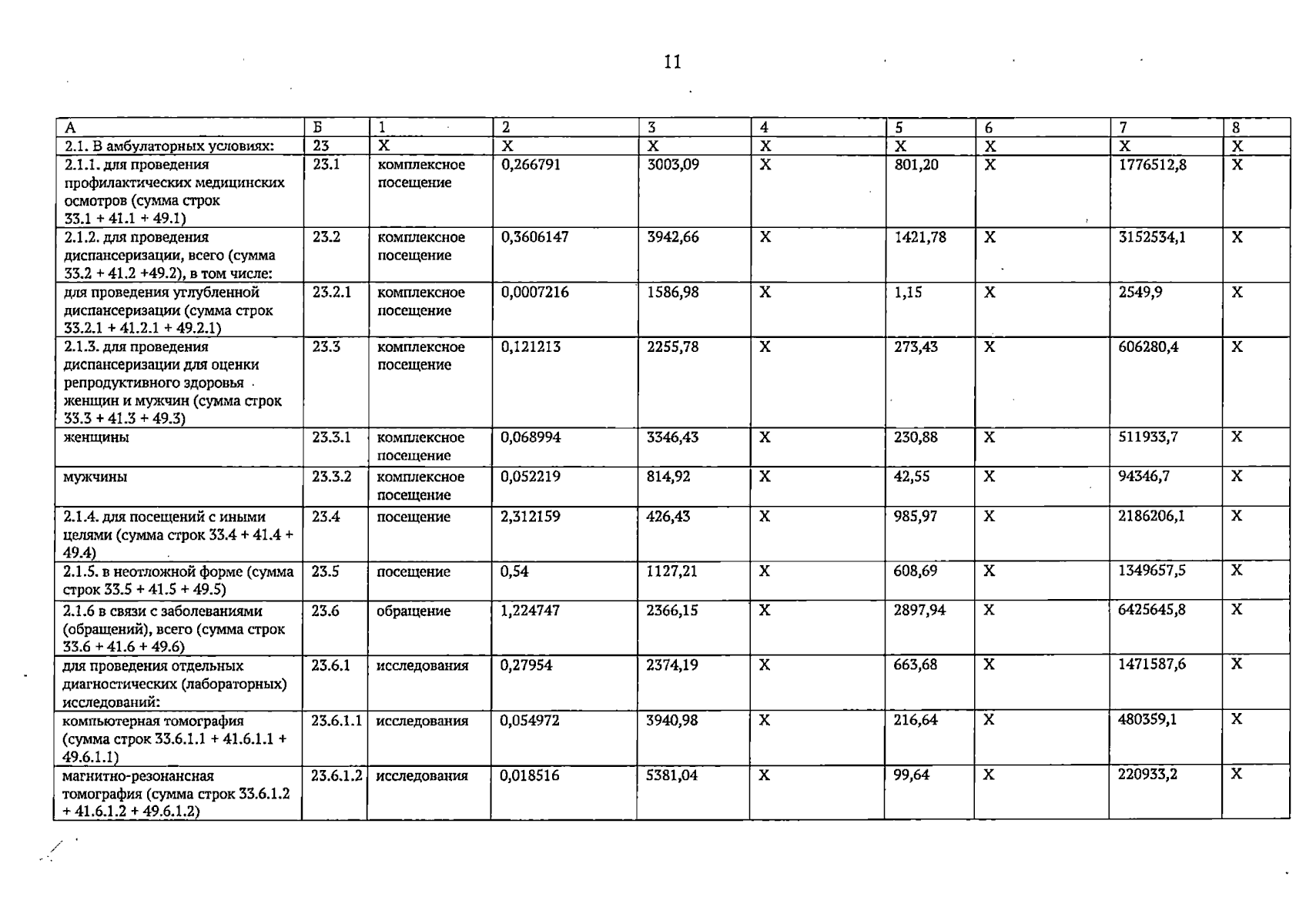
Страница №11 из 60:
Увеличить