Официальное опубликование правовых актов
ОФИЦИАЛЬНОЕ ОПУБЛИКОВАНИЕ
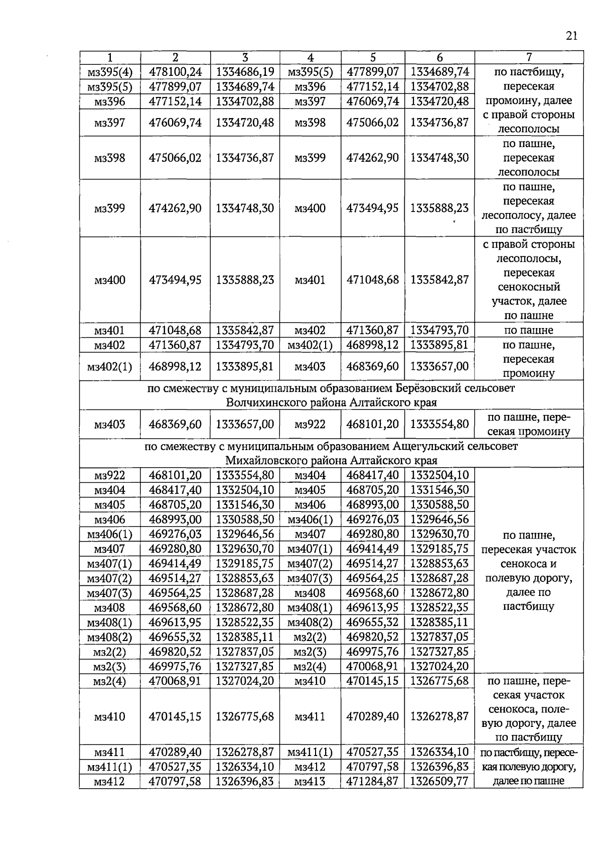
Закон Алтайского края от 01.04.2026 № 22-ЗС
"О внесении изменений в приложение 1 к закону Алтайского края "Об установлении границ муниципального образования муниципальный округ Ключевский район Алтайского края"
Номер опубликования: 2200202604030001
Дата опубликования: 03.04.2026
Страница №21 из 28:
Увеличить