Официальное опубликование правовых актов
ОФИЦИАЛЬНОЕ ОПУБЛИКОВАНИЕ
Постановление Правительства Алтайского края от 08.04.2026 № 96
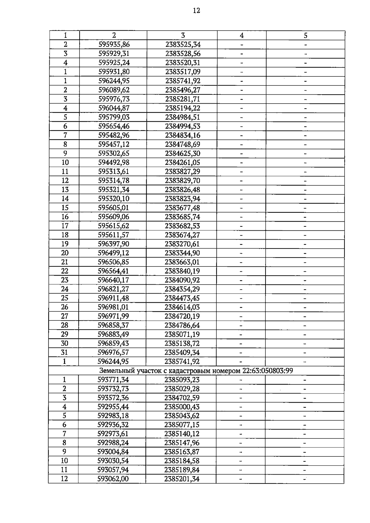
"О резервировании земель для государственных нужд Алтайского края в целях размещения объектов капитального строительства краевого значения в сфере здравоохранения (медицинский кластер) и объектов рекреации"
(Зарегистрирован 09.04.2026 № 439)
Номер опубликования: 2200202604090001
Дата опубликования: 09.04.2026
Страница №12 из 13:
Увеличить