Приказ Главного управления Алтайского края по труду и социальной защите от 16.05.2016 № 176
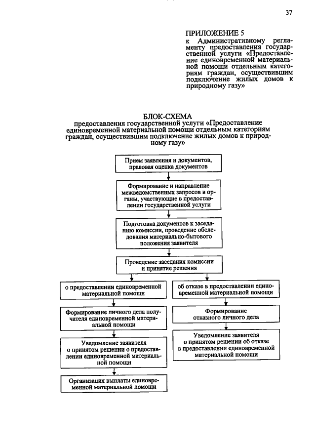
"Об утверждении Административного регламента предоставления государственной услуги "Предоставление единовременной материальной помощи отдельным категориям граждан, осуществившим подключение жилых домов к природному газу"
"Об утверждении Административного регламента предоставления государственной услуги "Предоставление единовременной материальной помощи отдельным категориям граждан, осуществившим подключение жилых домов к природному газу"
Номер опубликования: 2201201605170001
Дата опубликования:
17.05.2016
