Официальное опубликование правовых актов
ОФИЦИАЛЬНОЕ ОПУБЛИКОВАНИЕ
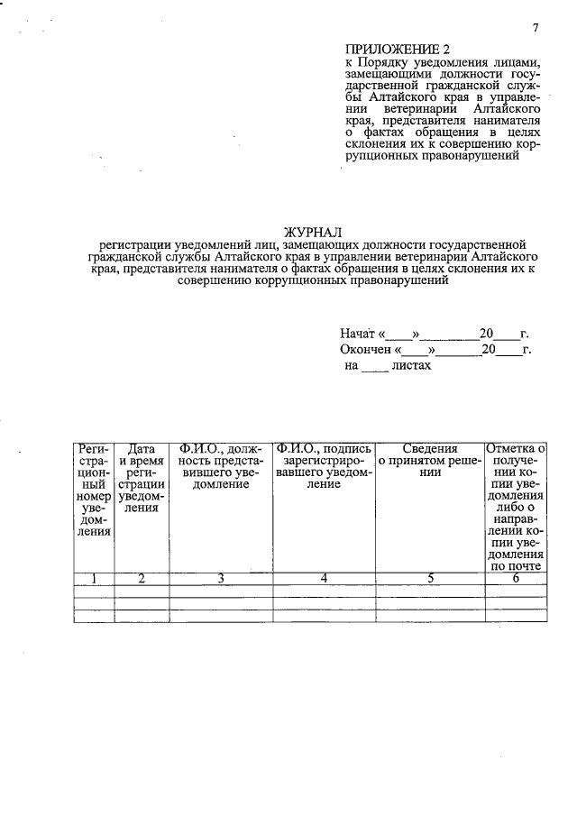
Приказ Управления ветеринарии Алтайского края от 30.05.2016 № 94-п
"Об утверждении Порядка уведомления лицами, замещающими должности государственной гражданской службы Алтайского края в управлении ветеринарии Алтайского края, представителя нанимателя о фактах обращения в целях склонения их к совершению коррупционных правонарушений"
Номер опубликования: 2201201606010004
Дата опубликования: 01.06.2016
Страница №7 из 7:
Увеличить