Официальное опубликование правовых актов
ОФИЦИАЛЬНОЕ ОПУБЛИКОВАНИЕ
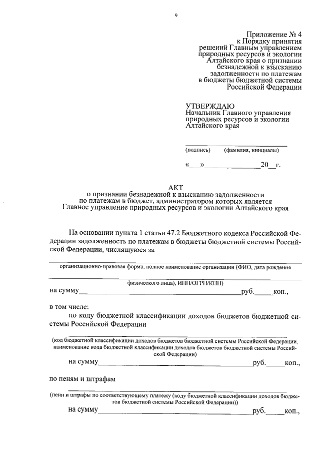
Приказ Главного управления природных ресурсов и экологии Алтайского края от 14.09.2016 № 1589
"Об утверждении Порядка принятия решений Главным управлением природных ресурсов и экологии Алтайского края о признании безнадежной к взысканию задолженности по платежам в бюджеты бюджетной системы Российской Федерации"
Номер опубликования: 2201201609140002
Дата опубликования: 14.09.2016
Страница №9 из 10:
Увеличить