Официальное опубликование правовых актов
ОФИЦИАЛЬНОЕ ОПУБЛИКОВАНИЕ
Приказ Министерства строительства и жилищно-коммунального хозяйства Алтайского края от 28.12.2024 № 1011
"О внесении изменений в приказ Министерства строительства и жилищно-коммунального хозяйства Алтайского края от 23.08.2022 № 621"
(Зарегистрирован 28.12.2024 № 2350)
Номер опубликования: 2201202412280029
Дата опубликования: 28.12.2024
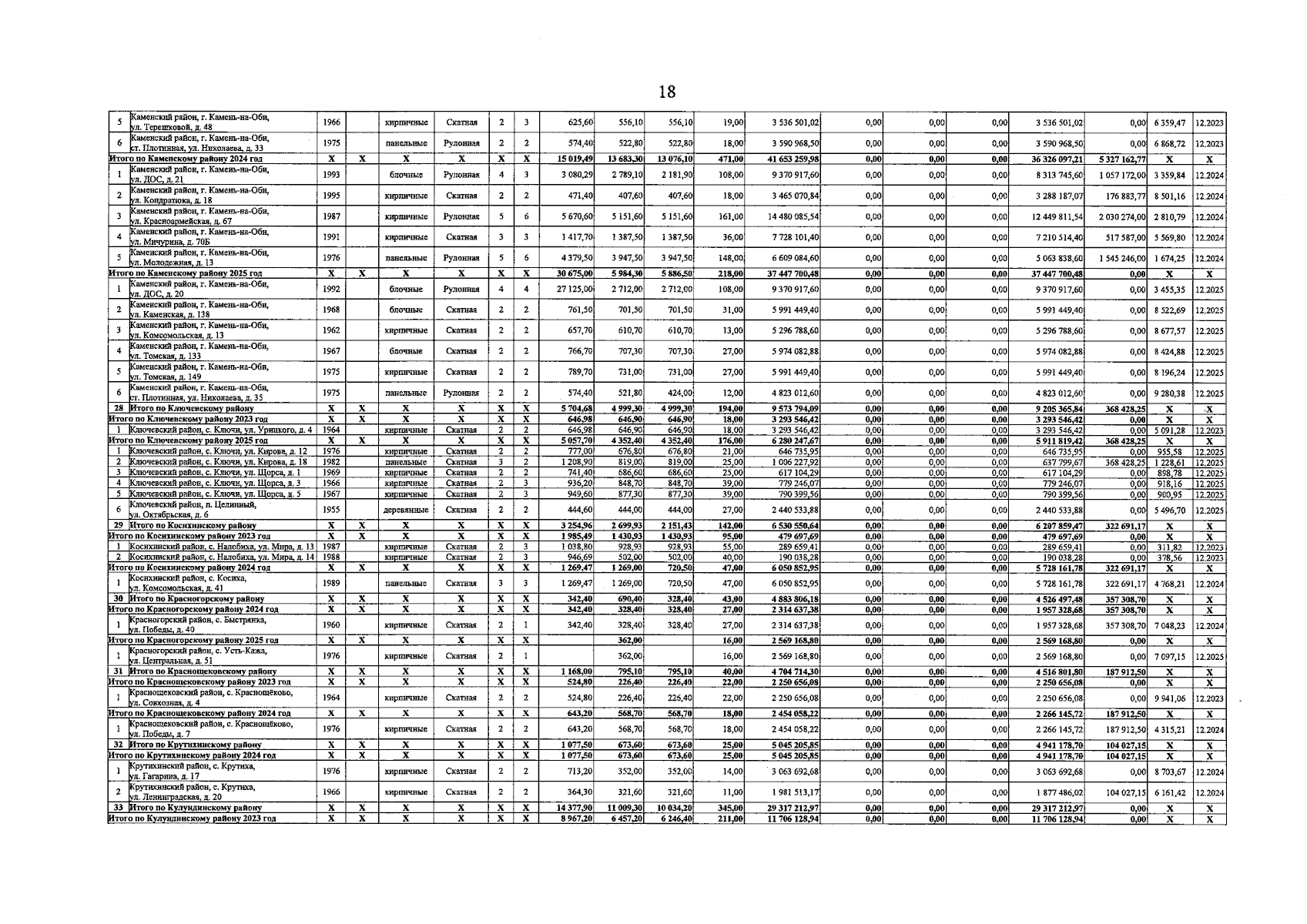
Страница №18 из 61:
Увеличить