Официальное опубликование правовых актов
ОФИЦИАЛЬНОЕ ОПУБЛИКОВАНИЕ
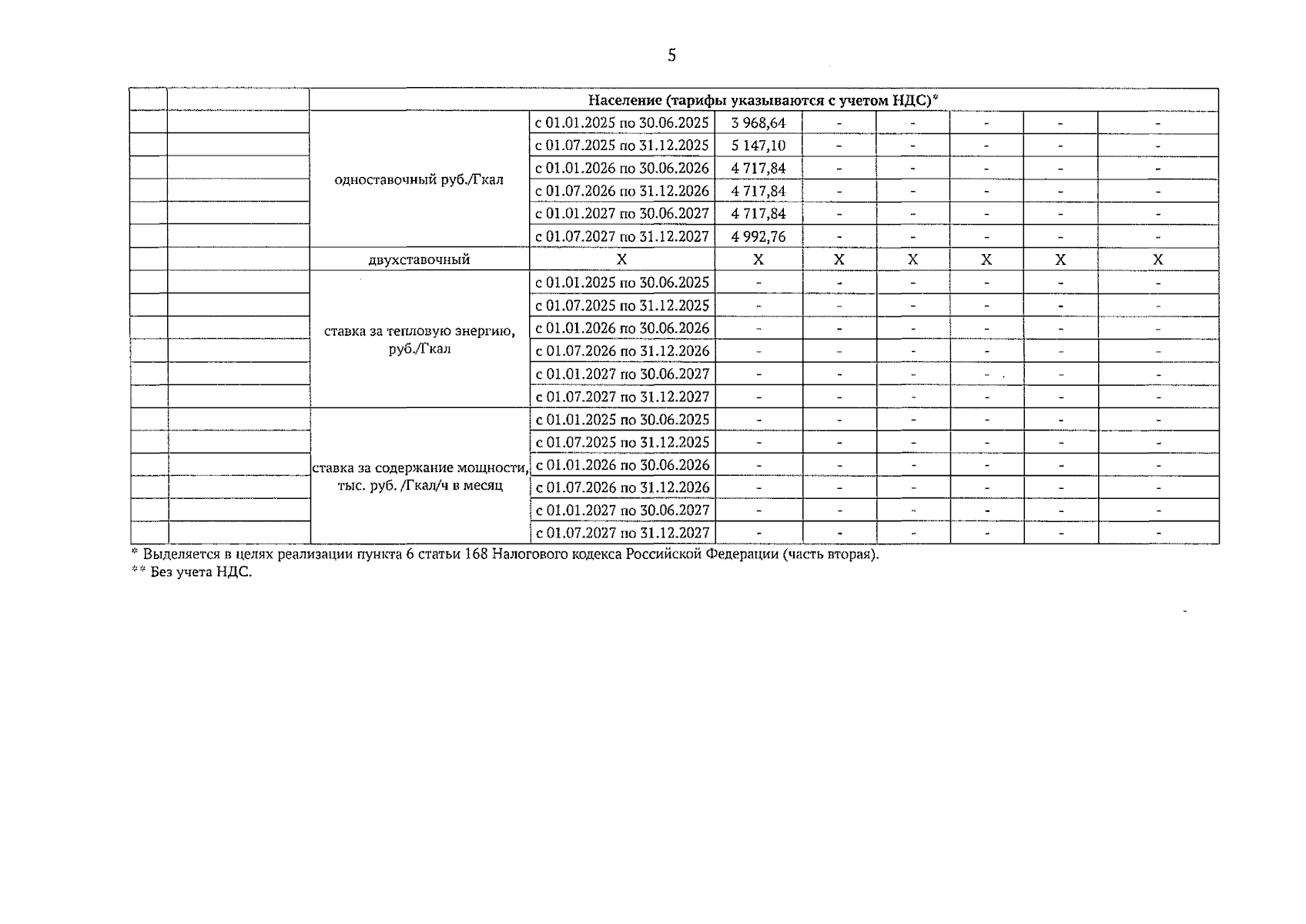
Решение Управления Алтайского края по государственному регулированию цен и тарифов от 26.02.2025 № 20
"Об установлении тарифов на тепловую энергию, поставляемую Муниципальным бюджетным учреждением "Жилищно-коммунальное хозяйство" потребителям Локтевского района Алтайского края, на 2025-2027 годы"
(Зарегистрирован 26.02.2025 № 218)
Номер опубликования: 2201202502260005
Дата опубликования: 26.02.2025
Страница №5 из 13:
Увеличить