Официальное опубликование правовых актов
ОФИЦИАЛЬНОЕ ОПУБЛИКОВАНИЕ
Приказ Министерства природных ресурсов и экологии Алтайского края от 05.03.2025 № 216
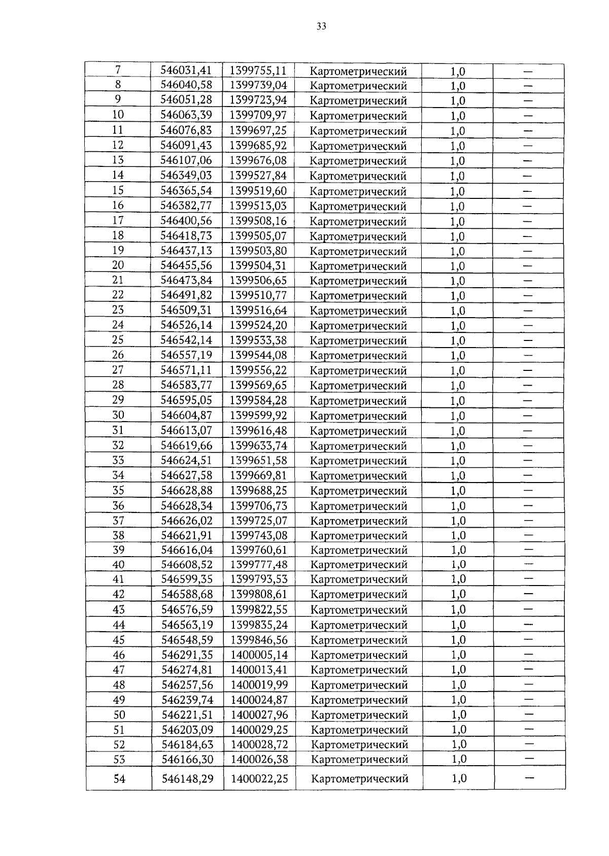
"Об установлении зон санитарной охраны подземных источников питьевого и хозяйственно-бытового водоснабжения населения села Завьялово, села Гилевка, поселка Малиновский, села Чистоозерка Завьяловского района Алтайского края"
(Зарегистрирован 05.03.2025 № 267)
Номер опубликования: 2201202503050003
Дата опубликования: 05.03.2025
Страница №33 из 50:
Увеличить