Официальное опубликование правовых актов
ОФИЦИАЛЬНОЕ ОПУБЛИКОВАНИЕ
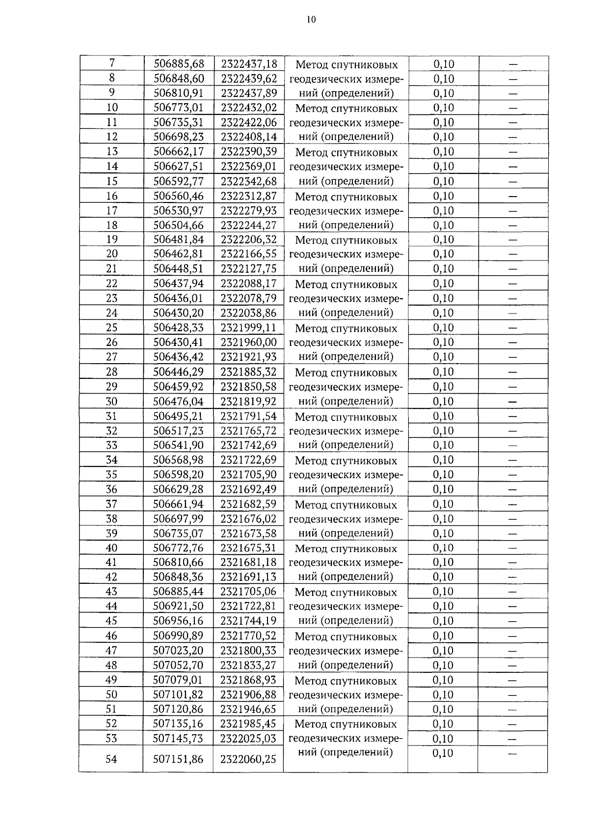
Приказ Министерства природных ресурсов и экологии Алтайского края от 29.09.2025 № 1019
"Об установлении зон санитарной охраны подземного источника питьевого и хозяйственно-бытового водоснабжения ООО "Горизонт" (город Барнаул, Алтайский край)"
(Зарегистрирован 29.09.2025 № 1350)
Номер опубликования: 2201202509290007
Дата опубликования: 29.09.2025
Страница №10 из 12:
Увеличить