Официальное опубликование правовых актов
ОФИЦИАЛЬНОЕ ОПУБЛИКОВАНИЕ
Приказ Министерства строительства и жилищно-коммунального хозяйства Алтайского края от 02.12.2025 № 1012
"О внесении изменения в приказ Министерства строительства и жилищно-коммунального хозяйства Алтайского края от 06.11.2024 № 815"
(Зарегистрирован 02.12.2025 № 1777)
Номер опубликования: 2201202512020006
Дата опубликования: 02.12.2025
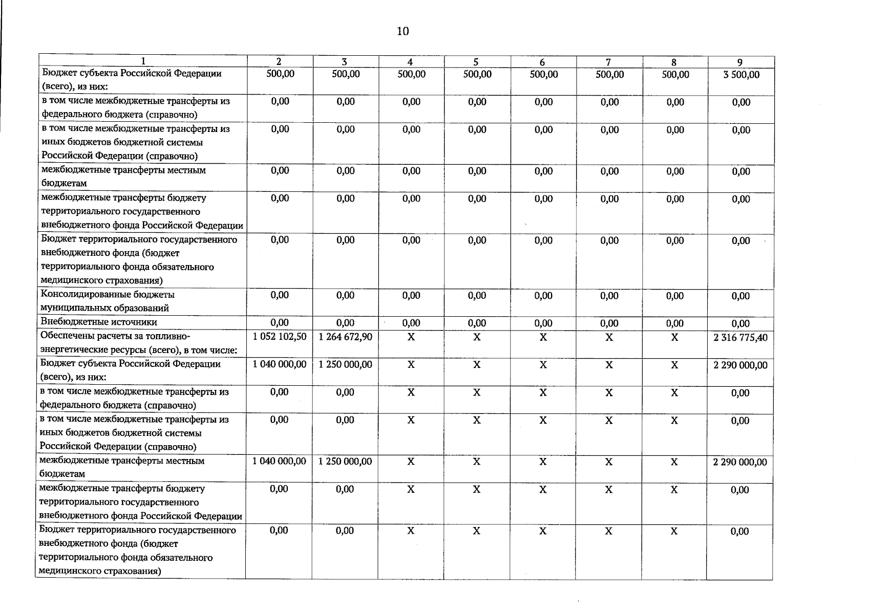
Страница №10 из 26:
Увеличить