Официальное опубликование правовых актов
ОФИЦИАЛЬНОЕ ОПУБЛИКОВАНИЕ
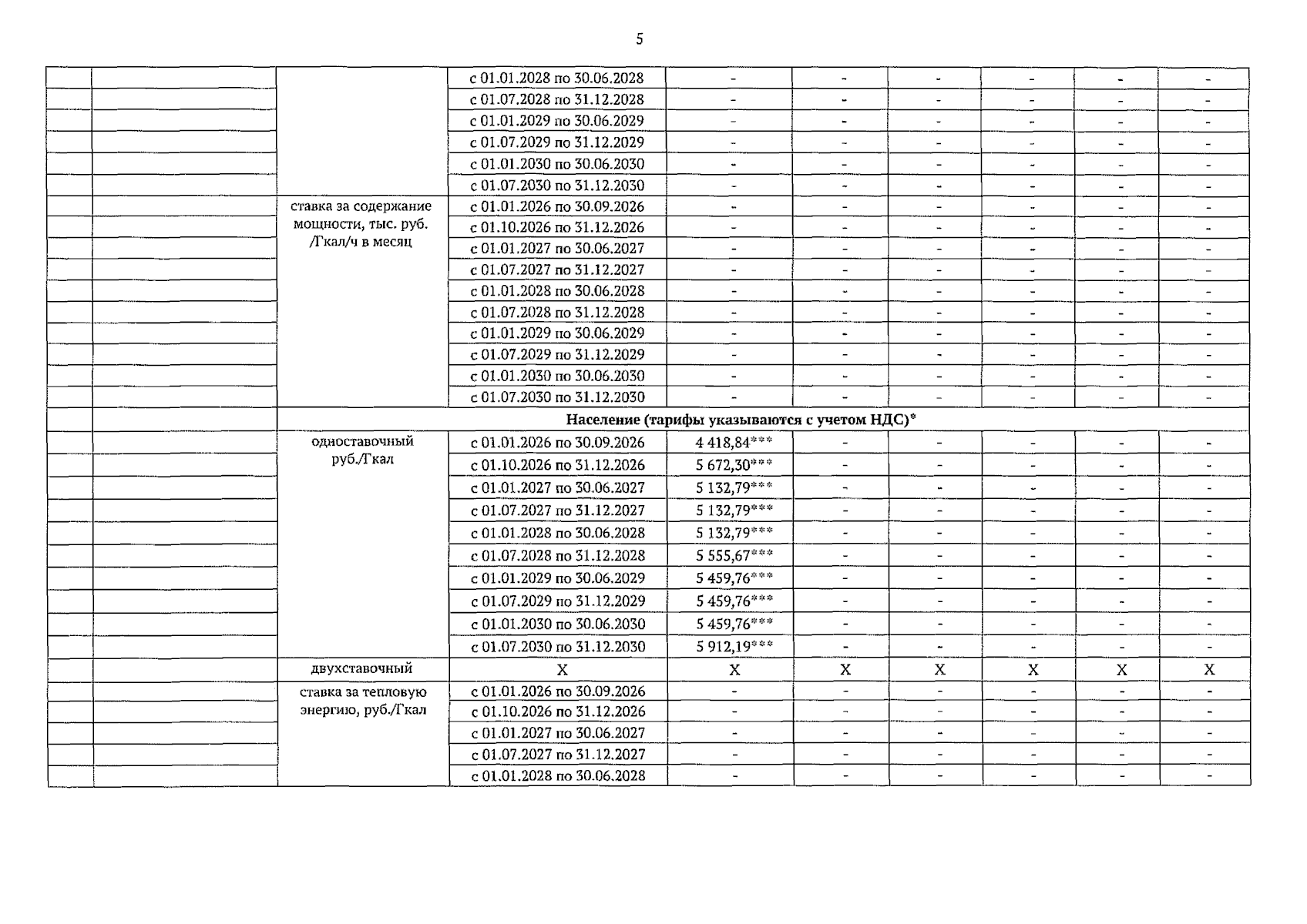
Решение Управления Алтайского края по государственному регулированию цен и тарифов от 17.12.2025 № 398
"Об установлении тарифов на тепловую энергию, поставляемую муниципальным унитарным предприятием "ЖКХ-Сервис" Михайловского района Алтайского края потребителям Михайловского района Алтайского края, на 2026-2030 годы"
(Зарегистрирован 19.12.2025 № 2107)
Номер опубликования: 2201202512190064
Дата опубликования: 19.12.2025
Страница №5 из 6:
Увеличить