Официальное опубликование правовых актов
ОФИЦИАЛЬНОЕ ОПУБЛИКОВАНИЕ
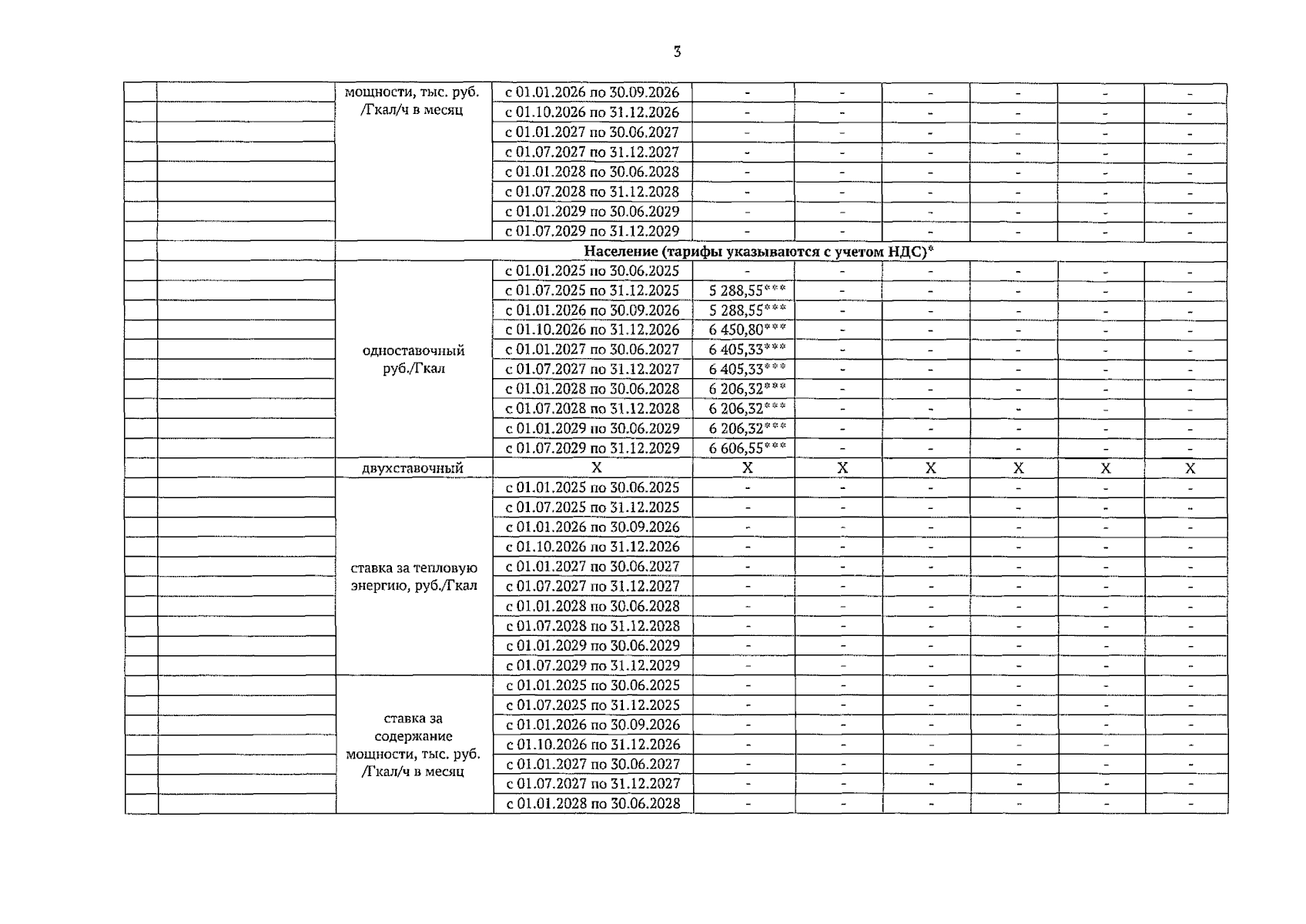
Решение Управления Алтайского края по государственному регулированию цен и тарифов от 19.12.2025 № 540
"Об установлении тарифов на тепловую энергию, поставляемую обществом с ограниченной ответственностью "АПС-Исток" потребителям Ребрихинского района Алтайского края, на 2025-2029 годы"
(Зарегистрирован 23.12.2025 № 2177)
Номер опубликования: 2201202512230017
Дата опубликования: 23.12.2025
Страница №3 из 4:
Увеличить