Официальное опубликование правовых актов
ОФИЦИАЛЬНОЕ ОПУБЛИКОВАНИЕ
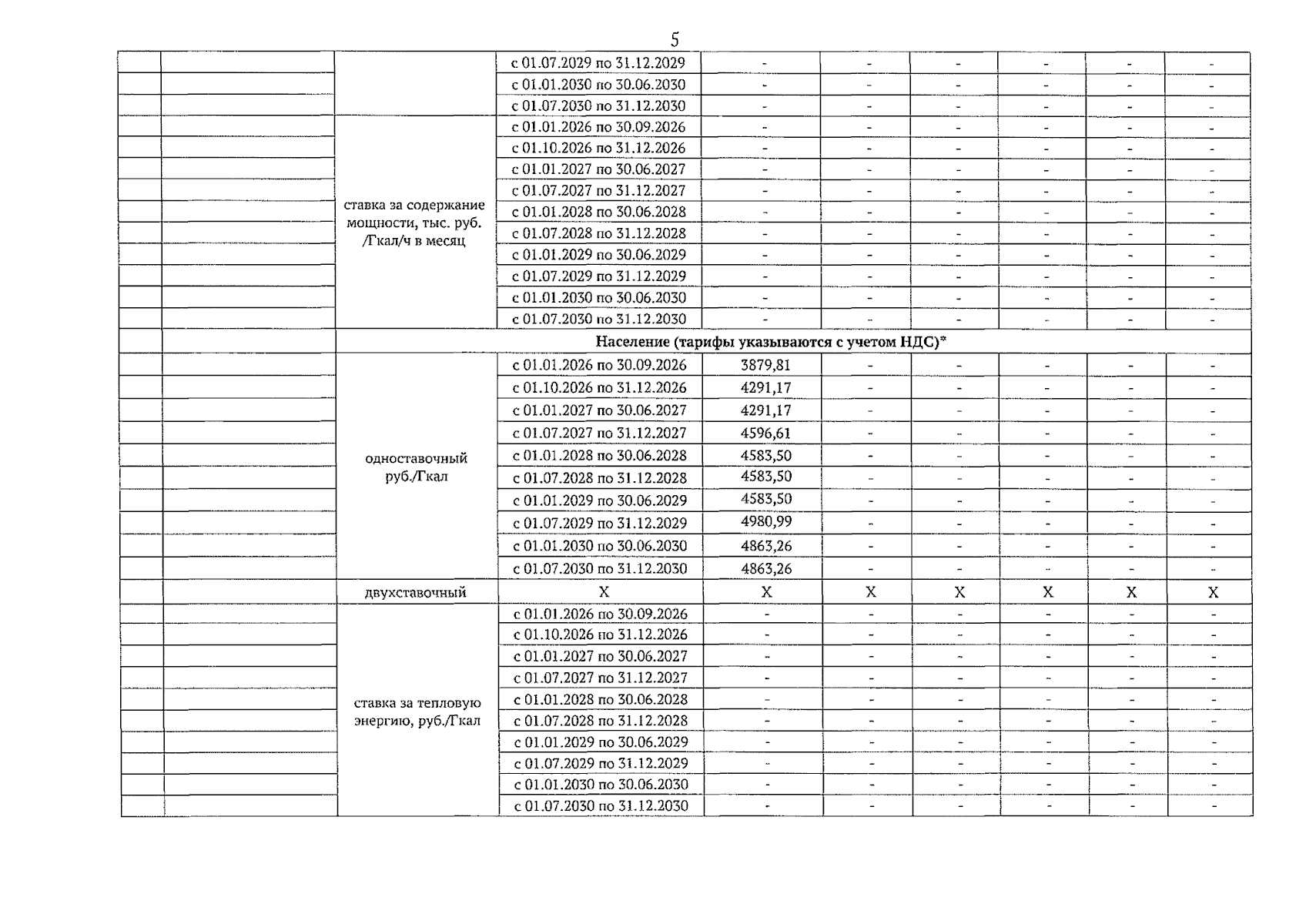
Решение Управления Алтайского края по государственному регулированию цен и тарифов от 19.12.2025 № 467
"Об установлении тарифов на тепловую энергию, поставляемую Федеральным государственным бюджетным учреждением "Центральное жилищно-коммунальное управление" Министерства обороны Российской Федерации потребителям Алтайского края, на 2026–2030 годы"
(Зарегистрирован 23.12.2025 № 2185)
Номер опубликования: 2201202512230022
Дата опубликования: 23.12.2025
Страница №5 из 6:
Увеличить