Официальное опубликование правовых актов
ОФИЦИАЛЬНОЕ ОПУБЛИКОВАНИЕ
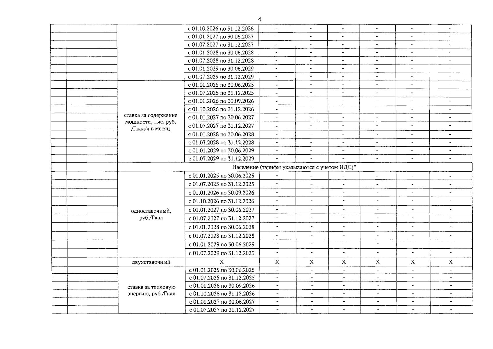
Решение Управления Алтайского края по государственному регулированию цен и тарифов от 19.12.2025 № 470
"О пересмотре тарифов на тепловую энергию, поставляемую обществом с ограниченной ответственностью "Родник" потребителям Алейского района Алтайского края, на 2025-2029 годы"
(Зарегистрирован 23.12.2025 № 2188)
Номер опубликования: 2201202512230025
Дата опубликования: 23.12.2025
Страница №4 из 5:
Увеличить