Официальное опубликование правовых актов
ОФИЦИАЛЬНОЕ ОПУБЛИКОВАНИЕ
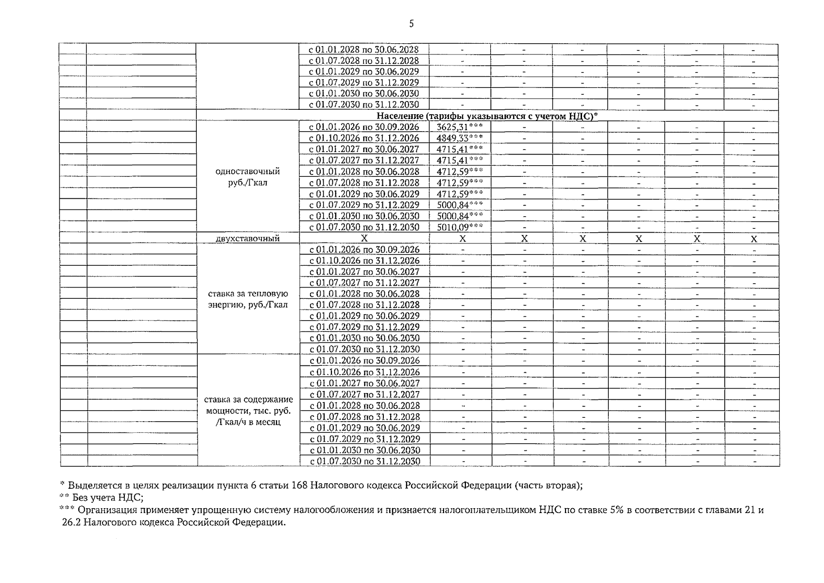
Решение Управления Алтайского края по государственному регулированию цен и тарифов от 19.12.2025 № 487
"Об установлении тарифов на тепловую энергию, поставляемую муниципальным унитарным предприятием "ЖК Сервис" Красногорского района Алтайского края потребителям Красногорского района Алтайского края, на 2026-2030 годы"
(Зарегистрирован 23.12.2025 № 2215)
Номер опубликования: 2201202512230034
Дата опубликования: 23.12.2025
Страница №5 из 5:
Увеличить