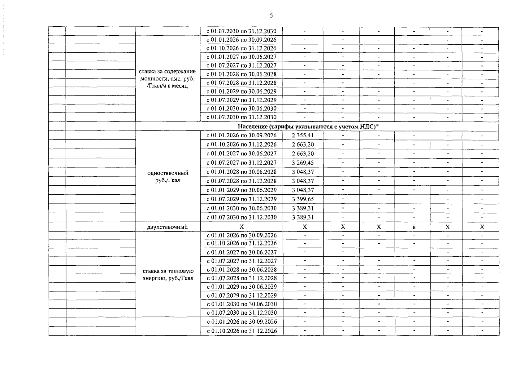
Решение Управления Алтайского края по государственному регулированию цен и тарифов от 19.12.2025 № 591
"Об установлении тарифов на тепловую энергию, поставляемую обществом с ограниченной ответственностью "Специализированный застройщик "Стройсиб" потребителям городского округа город Новоалтайск Алтайского края, на 2026-2030 годы"
(Зарегистрирован 24.12.2025 № 2328)
"Об установлении тарифов на тепловую энергию, поставляемую обществом с ограниченной ответственностью "Специализированный застройщик "Стройсиб" потребителям городского округа город Новоалтайск Алтайского края, на 2026-2030 годы"
(Зарегистрирован 24.12.2025 № 2328)
Номер опубликования: 2201202512240059
Дата опубликования:
24.12.2025
