Официальное опубликование правовых актов
ОФИЦИАЛЬНОЕ ОПУБЛИКОВАНИЕ
Приказ Министерства экономического развития Алтайского края от 26.01.2026 № 1
"О внесении изменений в приказ Министерства экономического развития Алтайского края от 22.12.2023 № 19"
(Зарегистрирован 26.01.2026 № 43)
Номер опубликования: 2201202601260001
Дата опубликования: 26.01.2026
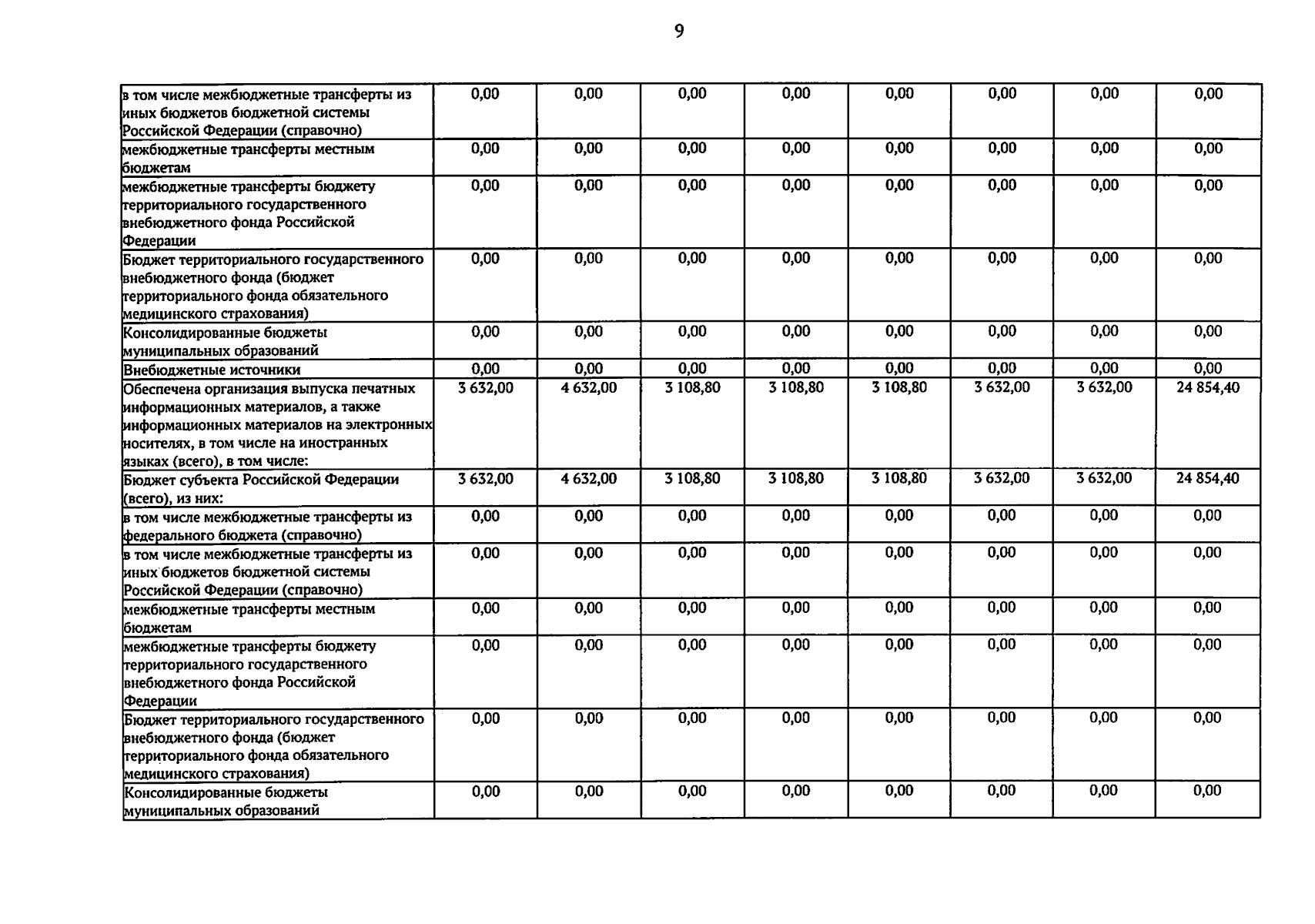
Страница №9 из 52:
Увеличить