Официальное опубликование правовых актов
ОФИЦИАЛЬНОЕ ОПУБЛИКОВАНИЕ
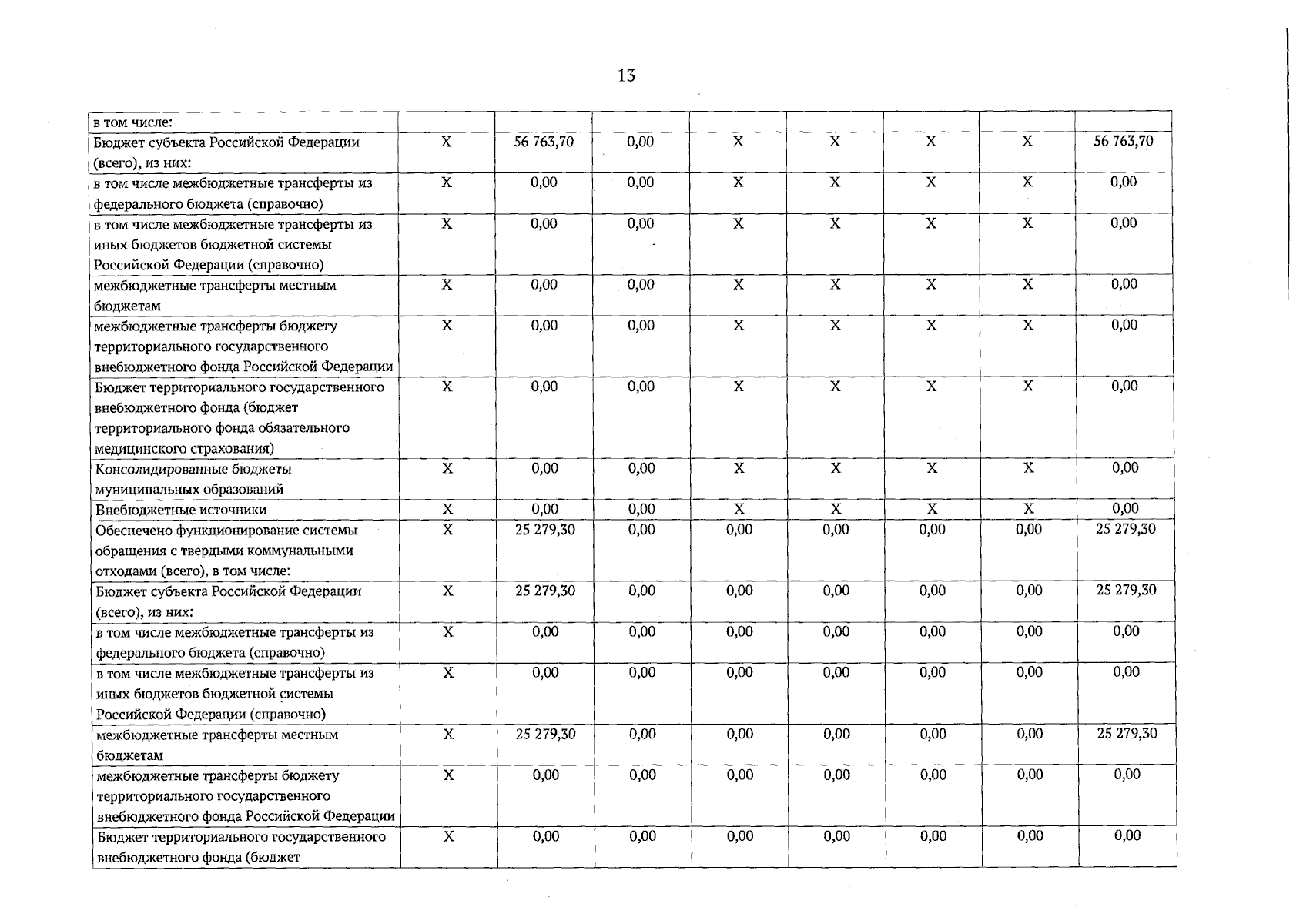
Приказ Министерства строительства и жилищно-коммунального хозяйства Алтайского края от 22.01.2026 № 28
"О внесении изменения в приказ Министерства строительства и жилищно-коммунального хозяйства Алтайского края от 06.11.2024 № 815"
(Зарегистрирован 23.01.2026 № 42)
Номер опубликования: 2201202601260003
Дата опубликования: 26.01.2026
Страница №13 из 25:
Увеличить