Официальное опубликование правовых актов
ОФИЦИАЛЬНОЕ ОПУБЛИКОВАНИЕ
Приказ управления Алтайского края по развитию предпринимательства и рыночной инфраструктуры от 28.01.2026 № 43/Пр/11
"О внесении изменений в приказ управления Алтайского края по развитию предпринимательства и рыночной инфраструктуры от 28.12.2023 № 43/Пр/152"
(Зарегистрирован 28.01.2026 № 65)
Номер опубликования: 2201202601280007
Дата опубликования: 28.01.2026
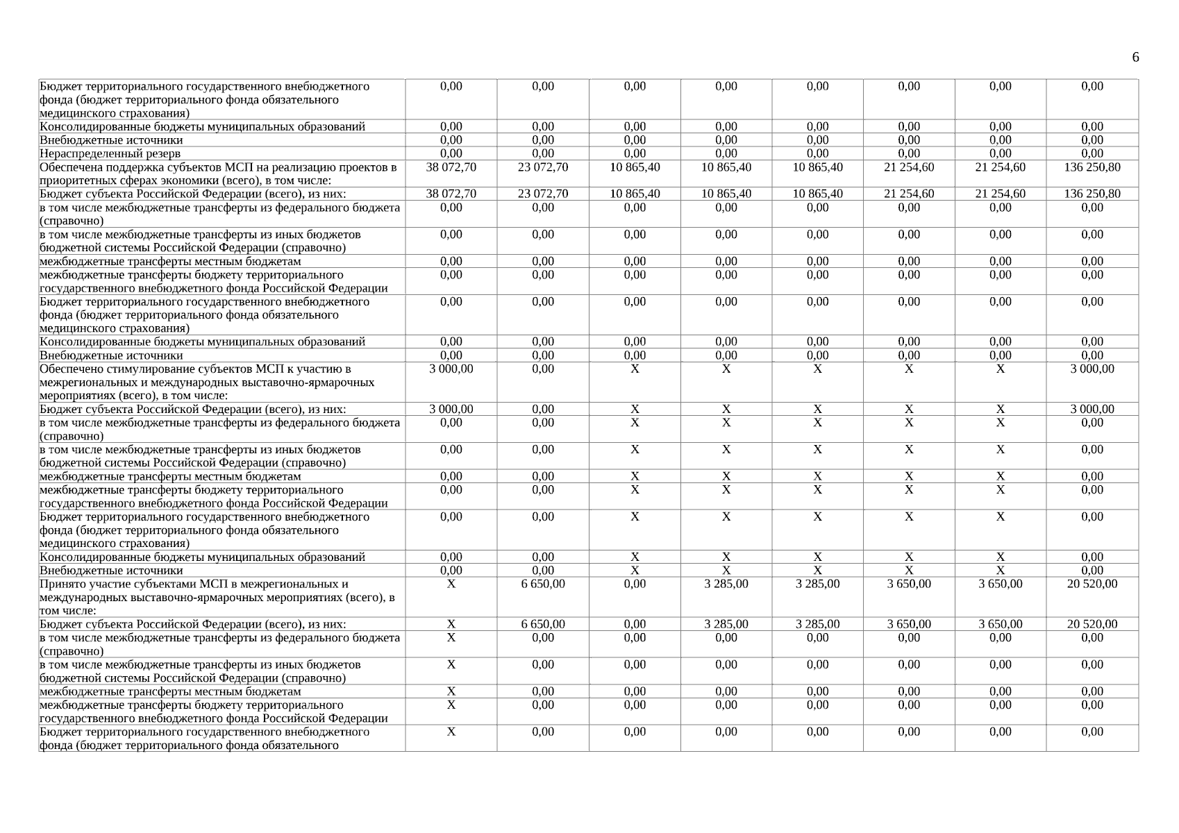
Страница №6 из 18:
Увеличить