Официальное опубликование правовых актов
ОФИЦИАЛЬНОЕ ОПУБЛИКОВАНИЕ
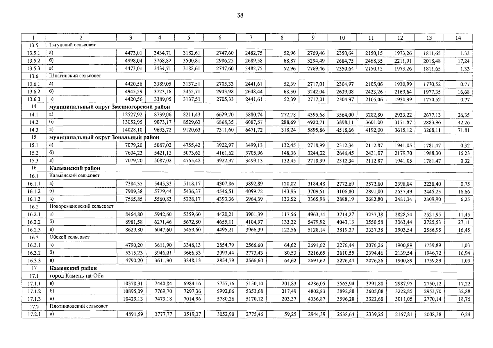
Решение Управления Алтайского края по государственному регулированию цен и тарифов от 28.01.2026 № 7
"О внесении изменений в решение управления Алтайского края по государственному регулированию цен и тарифов от 29.12.2025 № 624"
(Зарегистрирован 29.01.2026 № 75)
Номер опубликования: 2201202601290009
Дата опубликования: 29.01.2026
Страница №38 из 59:
Увеличить