Официальное опубликование правовых актов
ОФИЦИАЛЬНОЕ ОПУБЛИКОВАНИЕ
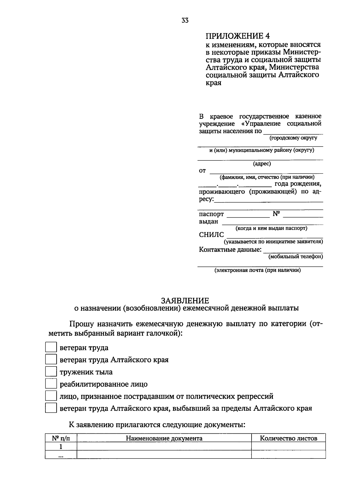
Приказ Министерства социальной защиты Алтайского края от 09.02.2026 № 27/Пр/71
"О внесении изменений в некоторые приказы Министерства труда и социальной защиты Алтайского края, Министерства социальной защиты Алтайского края"
(Зарегистрирован 09.02.2026 № 140)
Номер опубликования: 2201202602090006
Дата опубликования: 09.02.2026
Страница №33 из 59:
Увеличить