Официальное опубликование правовых актов
ОФИЦИАЛЬНОЕ ОПУБЛИКОВАНИЕ
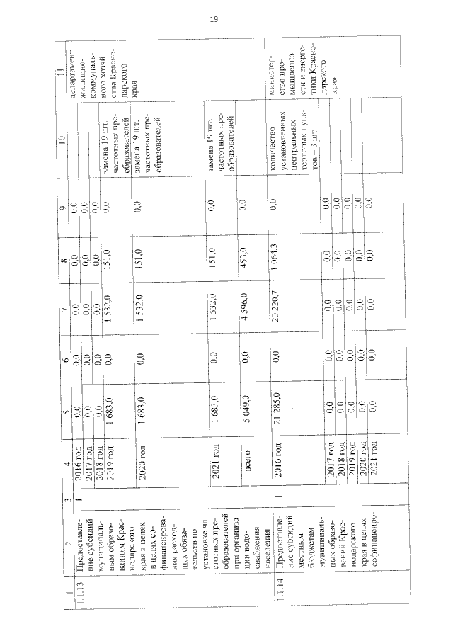
Постановление главы администрации (губернатора) Краснодарского края от 12.10.2015 № 961
"Об утверждении государственной программы Краснодарского края "Развитие топливно-энергетического комплекса"
Номер опубликования: 2300201510190019
Дата опубликования: 19.10.2015
Страница №71 из 129:
Увеличить