Официальное опубликование правовых актов
ОФИЦИАЛЬНОЕ ОПУБЛИКОВАНИЕ
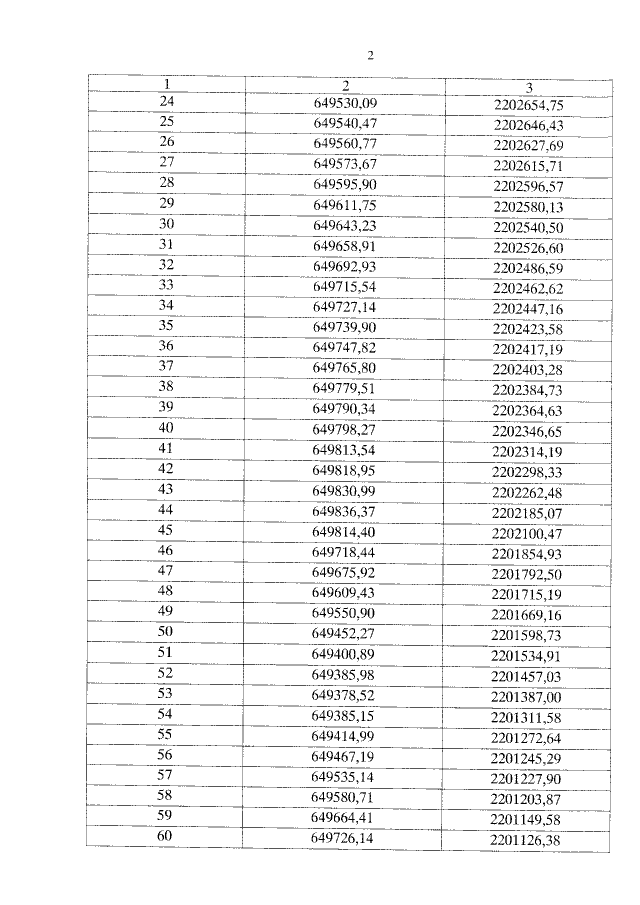
Постановление главы администрации (губернатора) Краснодарского края от 29.12.2015 № 1343
"О создании особо охраняемой природной территории регионального значения памятника природы "Урочище Куго-Ея"
Номер опубликования: 2300201601040002
Дата опубликования: 04.01.2016
Страница №4 из 10:
Увеличить