Официальное опубликование правовых актов
ОФИЦИАЛЬНОЕ ОПУБЛИКОВАНИЕ
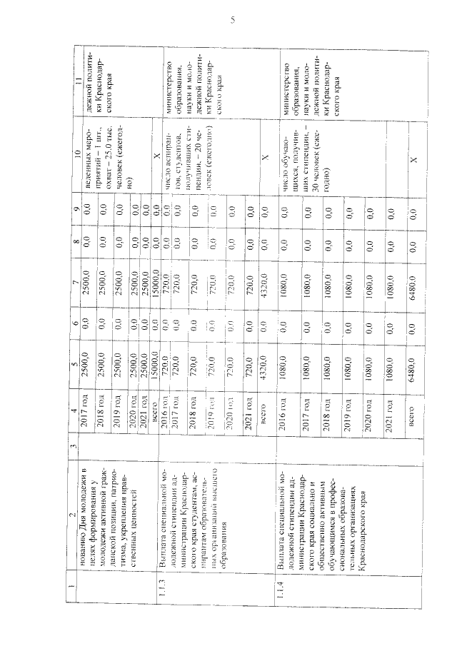
Постановление главы администрации (губернатора) Краснодарского края от 23.05.2016 № 319
"О внесении изменений в постановление главы администрации (губернатора) Краснодарского края от 12 октября 2015 года № 963 "Об утверждении государственной программы Краснодарского края "Молодежь Кубани"
Номер опубликования: 2300201605300011
Дата опубликования: 30.05.2016
Страница №6 из 13:
Увеличить