Официальное опубликование правовых актов
ОФИЦИАЛЬНОЕ ОПУБЛИКОВАНИЕ
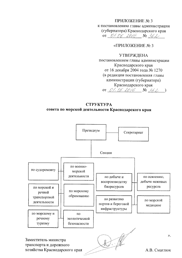
Постановление главы администрации (губернатора) Краснодарского края от 01.06.2016 № 362
"О внесении изменений в некоторые правовые акты главы администрации (губернатора) Краснодарского края"
Номер опубликования: 2300201606080004
Дата опубликования: 08.06.2016
Страница №12 из 19:
Увеличить