Официальное опубликование правовых актов
ОФИЦИАЛЬНОЕ ОПУБЛИКОВАНИЕ
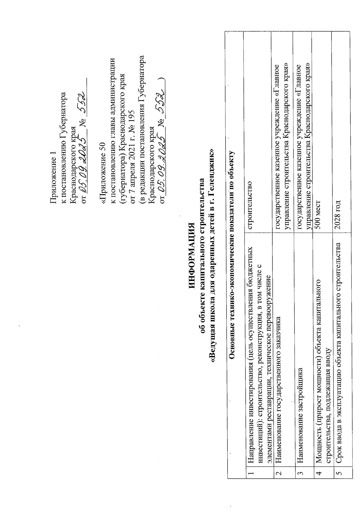
Постановление Губернатора Краснодарского края от 05.09.2025 № 552
"О внесении изменений в некоторые правовые акты главы администрации (губернатора) Краснодарского края"
Номер опубликования: 2300202509100016
Дата опубликования: 10.09.2025
Страница №2 из 5:
Увеличить