Официальное опубликование правовых актов
ОФИЦИАЛЬНОЕ ОПУБЛИКОВАНИЕ
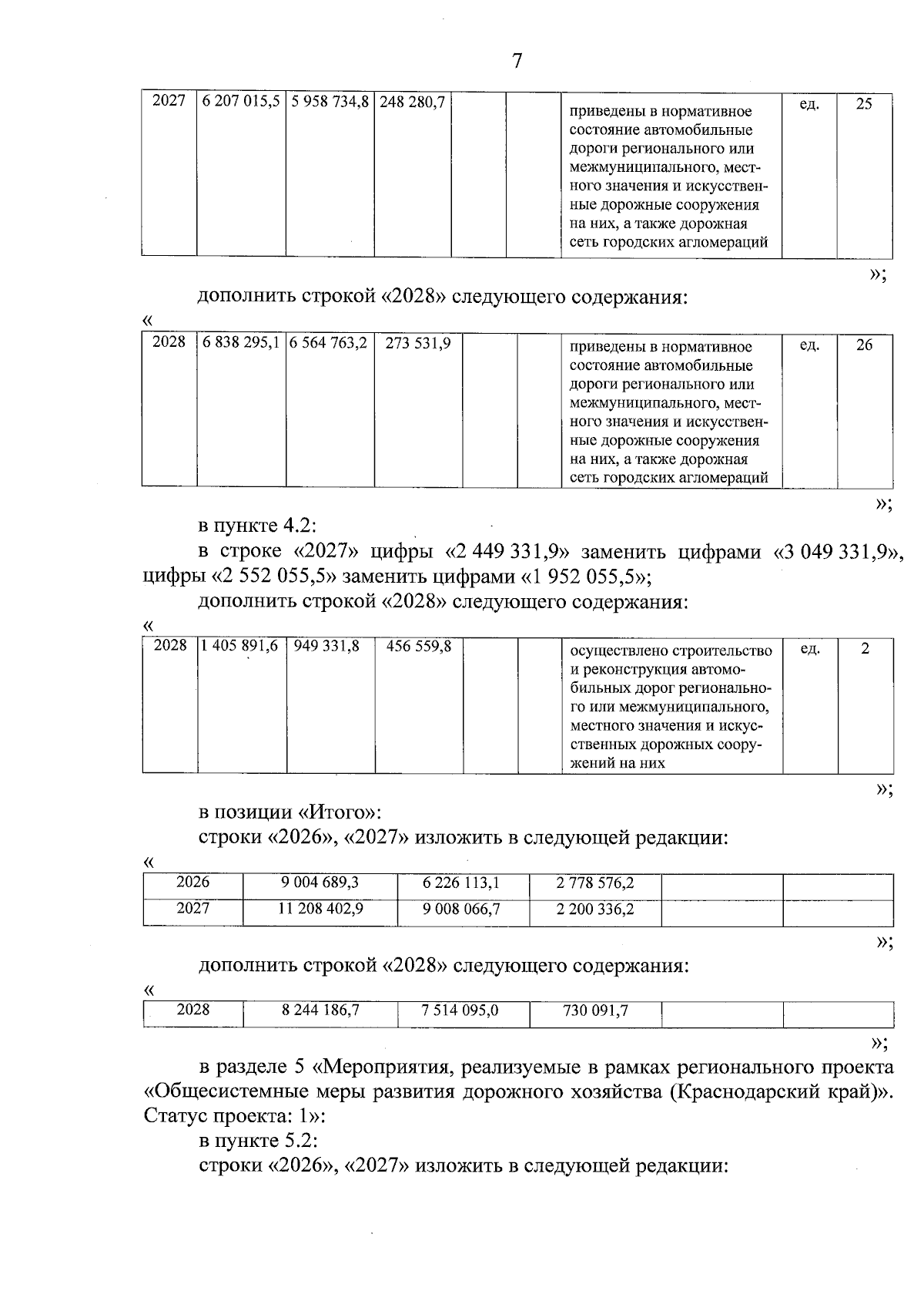
Постановление Губернатора Краснодарского края от 13.03.2026 № 104
"О внесении изменений в некоторые правовые акты главы администрации (губернатора) Краснодарского края"
Номер опубликования: 2300202603180002
Дата опубликования: 18.03.2026
Страница №9 из 19:
Увеличить