Приказ администрации Краснодарского края от 29.06.2018 № 202-КН
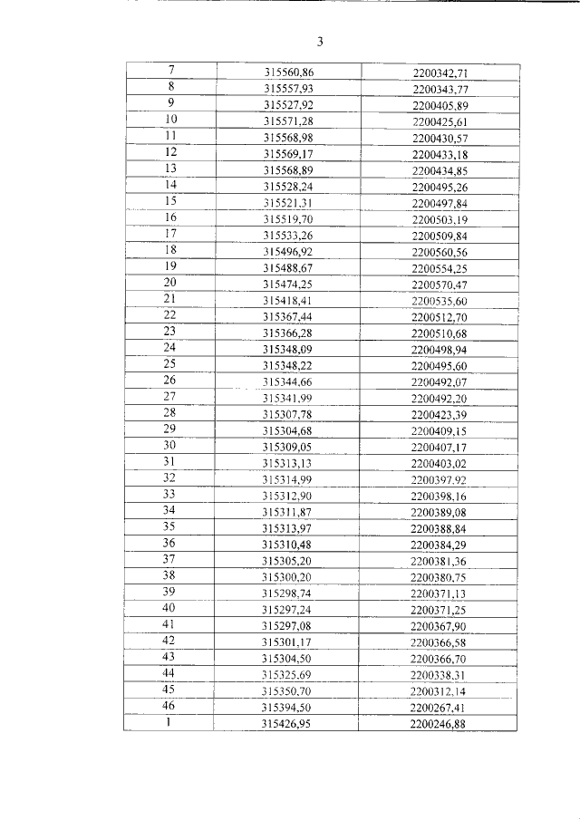
"Об утверждении предмета охраны и границы территории объекта культурного наследия регионального значения "Памятное место, где в годы Великой Отечественной войны находились госпитали № 2131, 40, 44, 111", 1941 – 1945 годы, Краснодарский край, г. Сочи, Хостинский район, Курортный проспект, 86"
"Об утверждении предмета охраны и границы территории объекта культурного наследия регионального значения "Памятное место, где в годы Великой Отечественной войны находились госпитали № 2131, 40, 44, 111", 1941 – 1945 годы, Краснодарский край, г. Сочи, Хостинский район, Курортный проспект, 86"
Номер опубликования: 2301201807060002
Дата опубликования:
06.07.2018
