Официальное опубликование правовых актов
ОФИЦИАЛЬНОЕ ОПУБЛИКОВАНИЕ
Приказ администрации Краснодарского края от 20.09.2018 № 257-КН
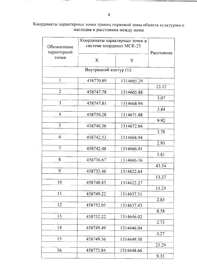
"Об утверждении границ территории и зон охраны объекта культурного наследия регионального значения "Станичное правление атамана станицы Абинской", 1900 г., Краснодарский край, Абинский район, г. Абинск, ул. Мира, 1"
Номер опубликования: 2301201809270002
Дата опубликования: 27.09.2018
Страница №13 из 22:
Увеличить