Официальное опубликование правовых актов
ОФИЦИАЛЬНОЕ ОПУБЛИКОВАНИЕ
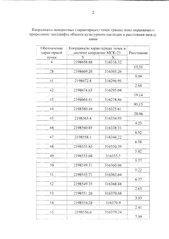
Приказ администрации Краснодарского края от 28.12.2018 № 318-КН
"Об утверждении границ территории и зон охраны объекта культурного наследия регионального значения "Здание, где в годы Великой Отечественной войны размещались госпитали № 2095, 2120", 1941 – 1945 гг., Краснодарский край, г. Сочи, Центральный район, ул. Соколова, 1"
Номер опубликования: 2301201812290002
Дата опубликования: 29.12.2018
Страница №22 из 42:
Увеличить