Официальное опубликование правовых актов
ОФИЦИАЛЬНОЕ ОПУБЛИКОВАНИЕ
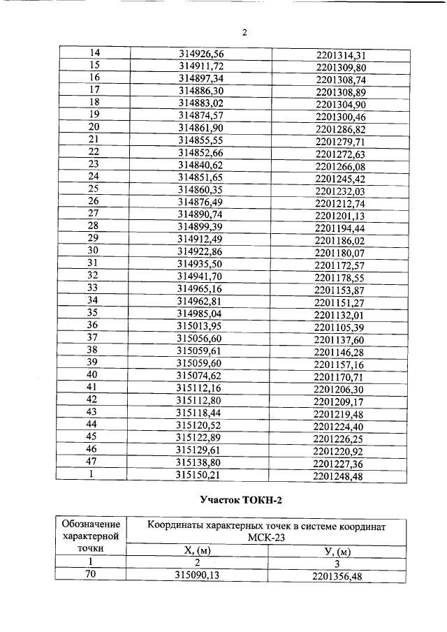
Приказ администрации Краснодарского края от 27.05.2019 № 76-КН
"Об утверждении предмета охраны, границ территории и зон охраны объекта культурного наследия регионального значения "Здания и сооружения санатория "Металлург", 1956 г.‚ Краснодарский край, г. Сочи, Хостинский район, Курортный просп.‚ 92"
Номер опубликования: 2301201906040005
Дата опубликования: 04.06.2019
Страница №15 из 45:
Увеличить