Официальное опубликование правовых актов
ОФИЦИАЛЬНОЕ ОПУБЛИКОВАНИЕ
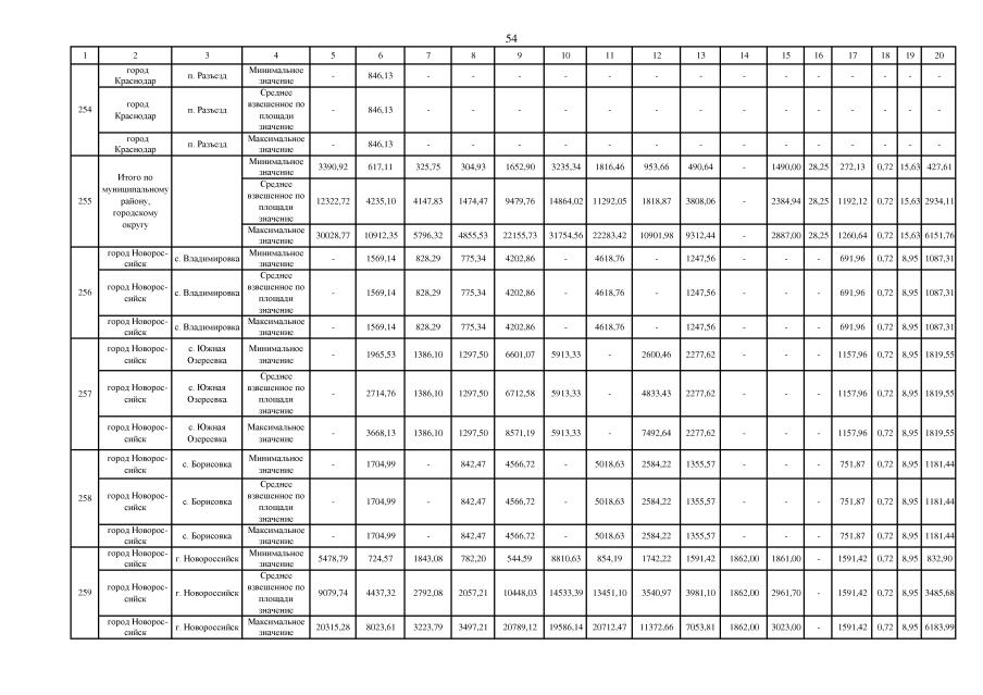
Приказ департамента имущественных отношений Краснодарского края от 28.10.2019 № 2275
"Об утверждении обобщенных значений удельных показателей кадастровой стоимости земельных участков в разрезе населенных пунктов, муниципальных районов (городских округов) по видам разрешенного использования в составе земель населенных пунктов на территории Краснодарского края"
Номер опубликования: 2301201911060004
Дата опубликования: 06.11.2019
Страница №56 из 372: