Приказ департамента информатизации и связи Краснодарского края от 02.12.2024 № 216
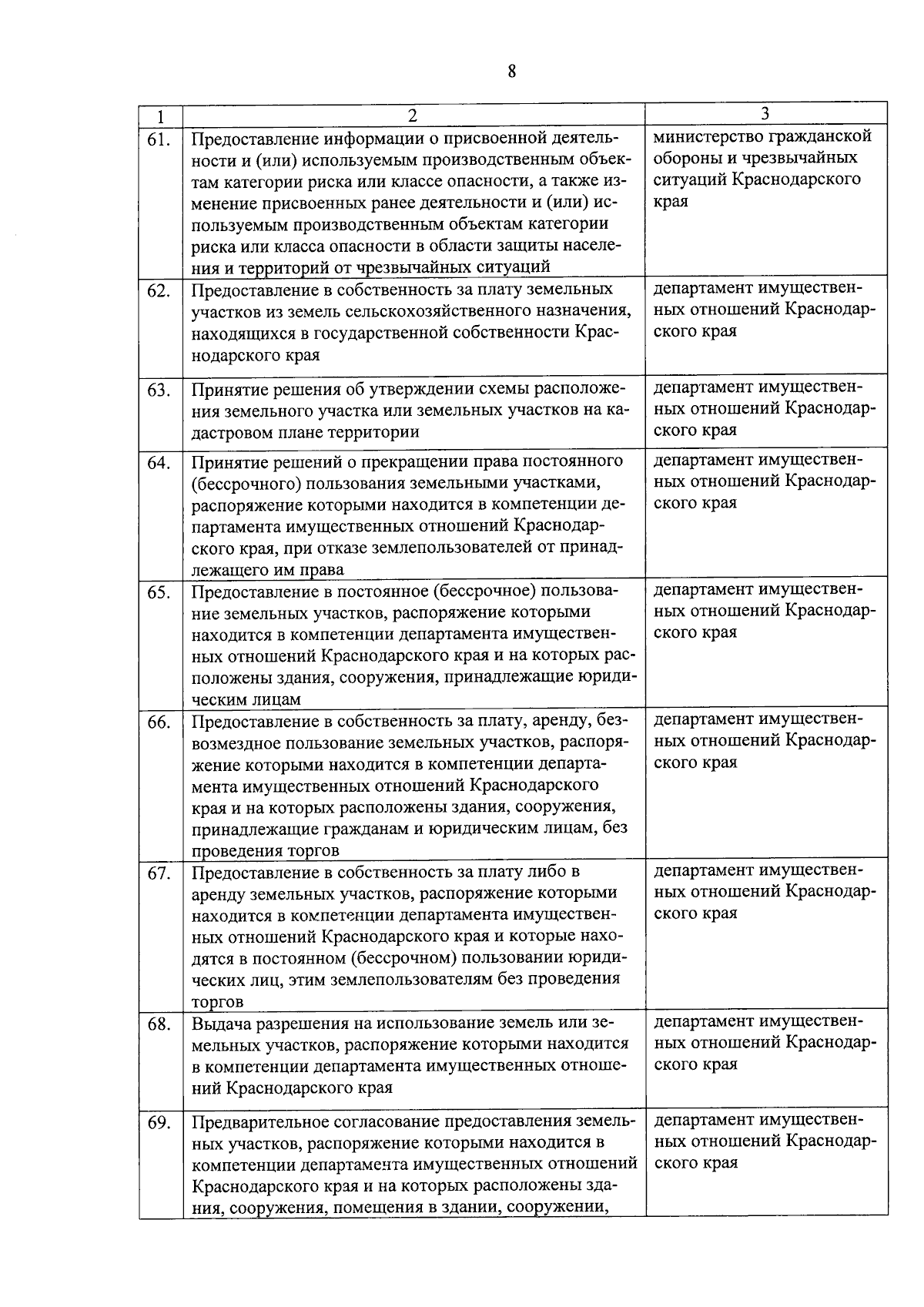
"О внесении изменения в приказ департамента информатизации и связи Краснодарского края от 4 июля 2018 г. № 114 ”Об утверждении перечня услуг и мер поддержки субъектов малого и среднего предпринимательства, предоставление которых организовано в центрах оказания услуг для бизнеса, расположенных на территории Краснодарского края"
"О внесении изменения в приказ департамента информатизации и связи Краснодарского края от 4 июля 2018 г. № 114 ”Об утверждении перечня услуг и мер поддержки субъектов малого и среднего предпринимательства, предоставление которых организовано в центрах оказания услуг для бизнеса, расположенных на территории Краснодарского края"
Номер опубликования: 2301202412090006
Дата опубликования:
09.12.2024
