Официальное опубликование правовых актов
ОФИЦИАЛЬНОЕ ОПУБЛИКОВАНИЕ
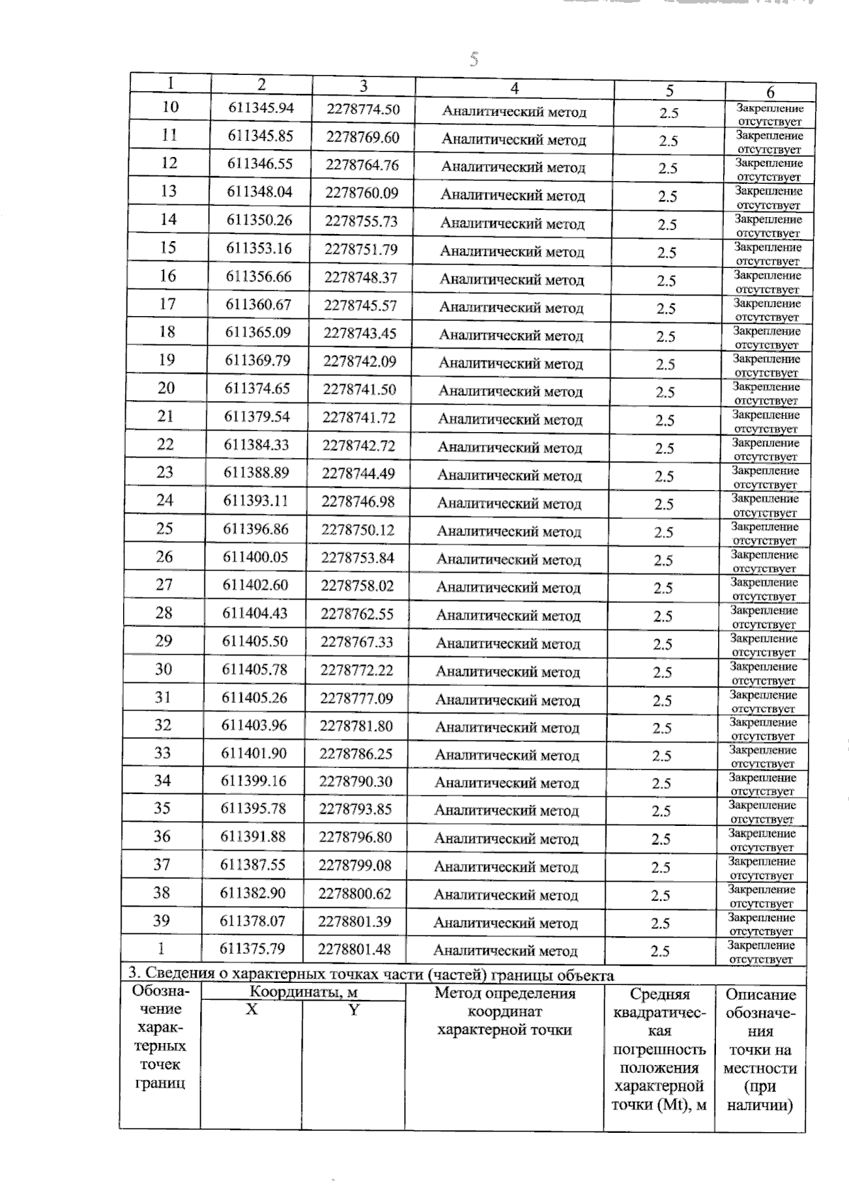
Приказ министерства природных ресурсов Краснодарского края от 09.12.2024 № 1808
"Об изменении зон санитарной охраны источника питьевого и хозяйственно-бытового водоснабжения общества с ограниченной ответственностью "Янтарное" в муниципальном образовании Белоглинский район"
Номер опубликования: 2301202412160013
Дата опубликования: 16.12.2024
Страница №7 из 12:
Увеличить