Официальное опубликование правовых актов
ОФИЦИАЛЬНОЕ ОПУБЛИКОВАНИЕ
Приказ министерства транспорта и дорожного хозяйства Краснодарского края от 14.07.2025 № 300
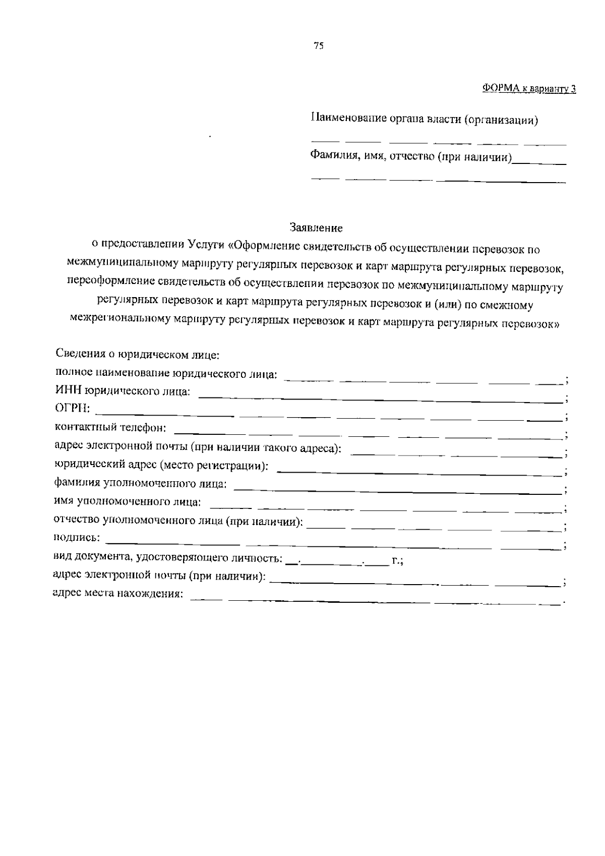
"Об утверждении Административного регламента министерства транспорта и дорожного хозяйства Краснодарского края по предоставлению государственной услуги "Оформление свидетельств об осуществлении перевозок по межмуниципальному маршруту регулярных перевозок и карт маршрута регулярных перевозок, переоформление свидетельств об осуществлении перевозок по межмуниципальному маршруту регулярных перевозок и карт маршрута регулярных перевозок и (или) по смежному межрегиональному маршруту регулярных перевозок и карт маршрута регулярных перевозок"
Номер опубликования: 2301202507210004
Дата опубликования: 21.07.2025
Страница №77 из 98:
Увеличить