Официальное опубликование правовых актов
ОФИЦИАЛЬНОЕ ОПУБЛИКОВАНИЕ
Приказ администрации Краснодарского края от 12.08.2025 № 848-КН
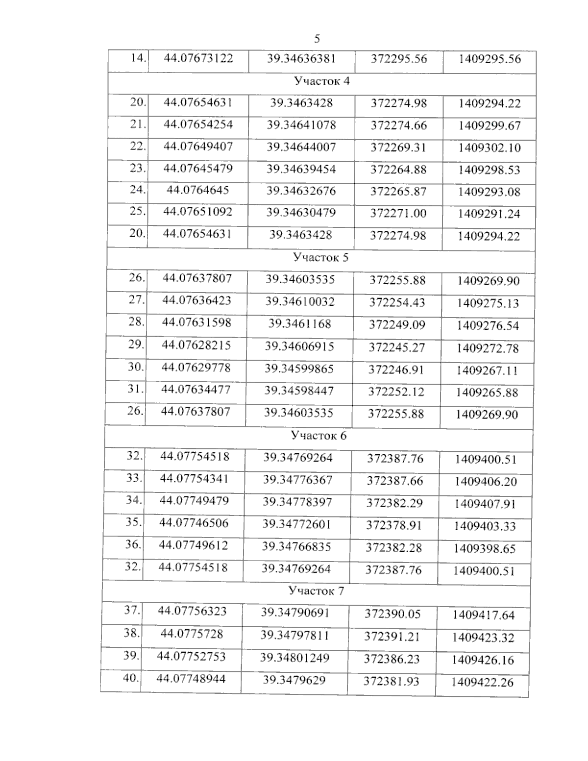
"Об утверждении границ и режима использования территории объекта культурного наследия федерального значения "Курганная группа (9 насыпей)", Краснодарский край, Туапсинский район, аул Большое Псеушхо, центр"
Номер опубликования: 2301202508190013
Дата опубликования: 19.08.2025
Страница №7 из 9:
Увеличить