Официальное опубликование правовых актов
ОФИЦИАЛЬНОЕ ОПУБЛИКОВАНИЕ
Приказ администрации Краснодарского края от 29.09.2025 № 1108-КН
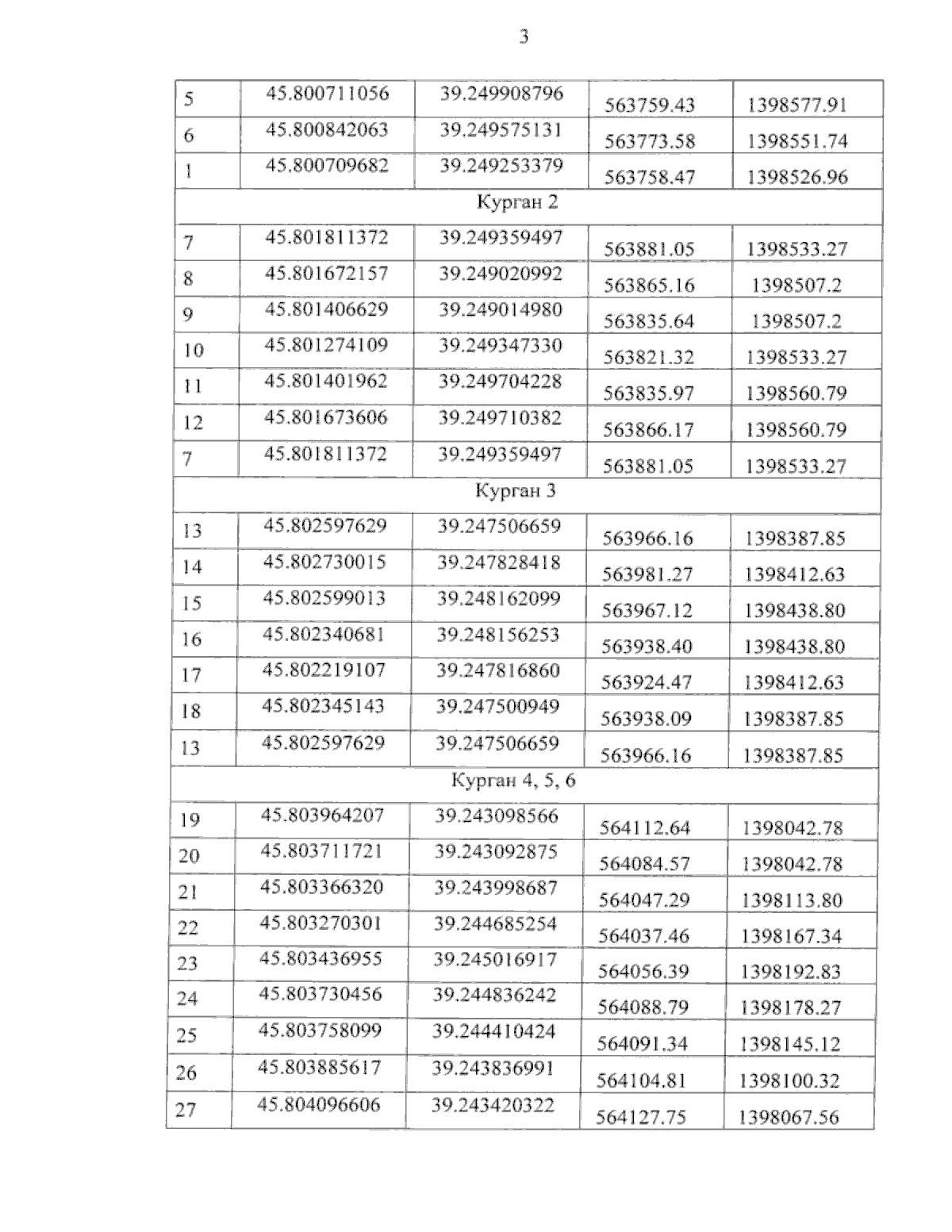
"О включении объекта "Курганная группа "Большебейсугская 19", Краснодарский край, Брюховецкий район, с. Большой Бейсуг, 370 м к юго-юго-западу от пересечения ул. Гагарина и ул. Береговой, в перечень выявленных объектов культурного наследия Краснодарского края, утверждении его границ и режима использования территории"
Номер опубликования: 2301202510060008
Дата опубликования: 06.10.2025
Страница №5 из 7:
Увеличить