Официальное опубликование правовых актов
ОФИЦИАЛЬНОЕ ОПУБЛИКОВАНИЕ
Приказ администрации Краснодарского края от 02.10.2025 № 1139-КН
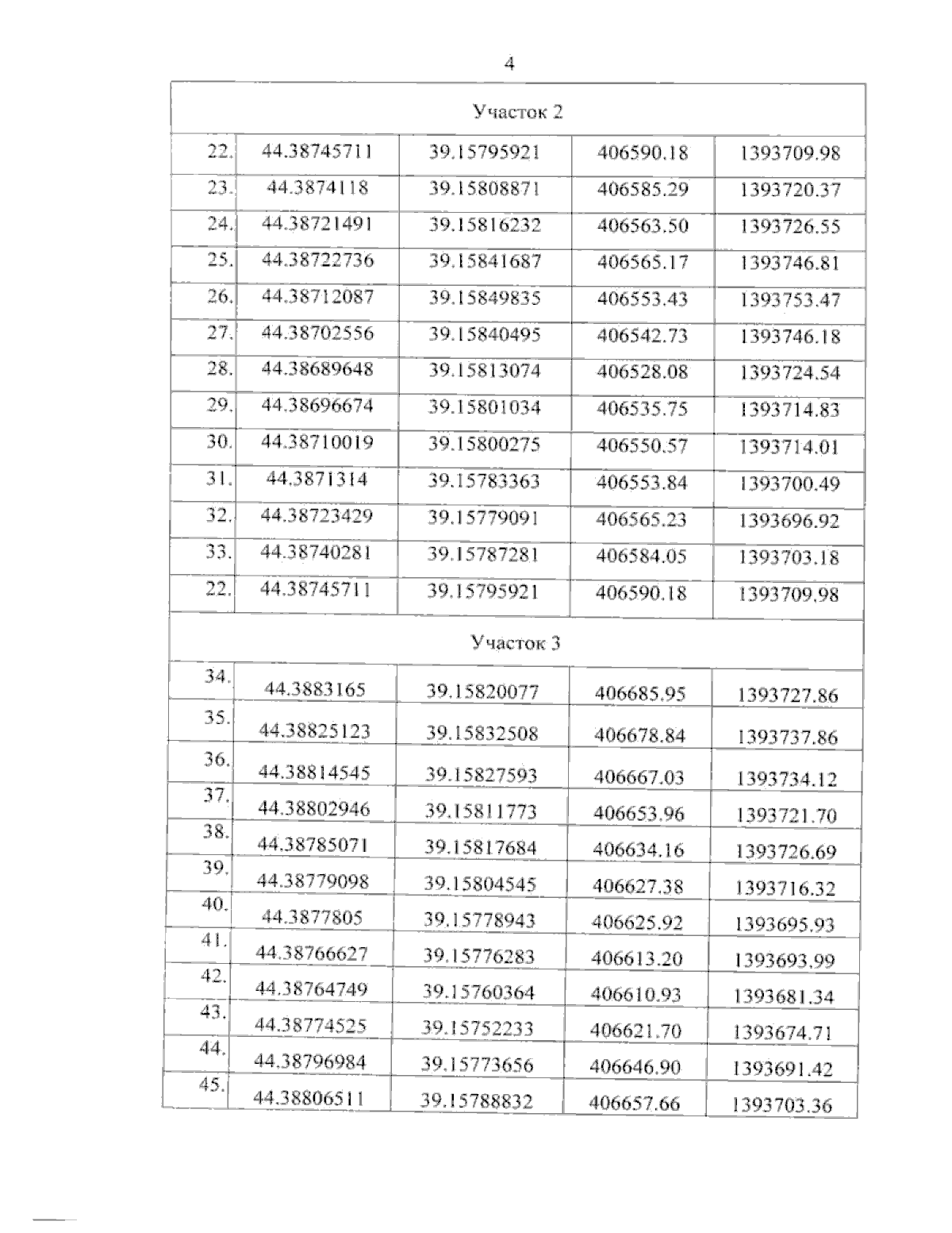
"Об утверждении границ и режима использования территории объекта культурного наследия федерального значения "Курганная группа", эпоха позднего средневековья, Краснодарский край, Туапсинский район, с. Садовое, 0,6 км к западу от села"
Номер опубликования: 2301202510070015
Дата опубликования: 07.10.2025
Страница №6 из 8:
Увеличить