Официальное опубликование правовых актов
ОФИЦИАЛЬНОЕ ОПУБЛИКОВАНИЕ
Приказ администрации Краснодарского края от 03.10.2025 № 1155-КН
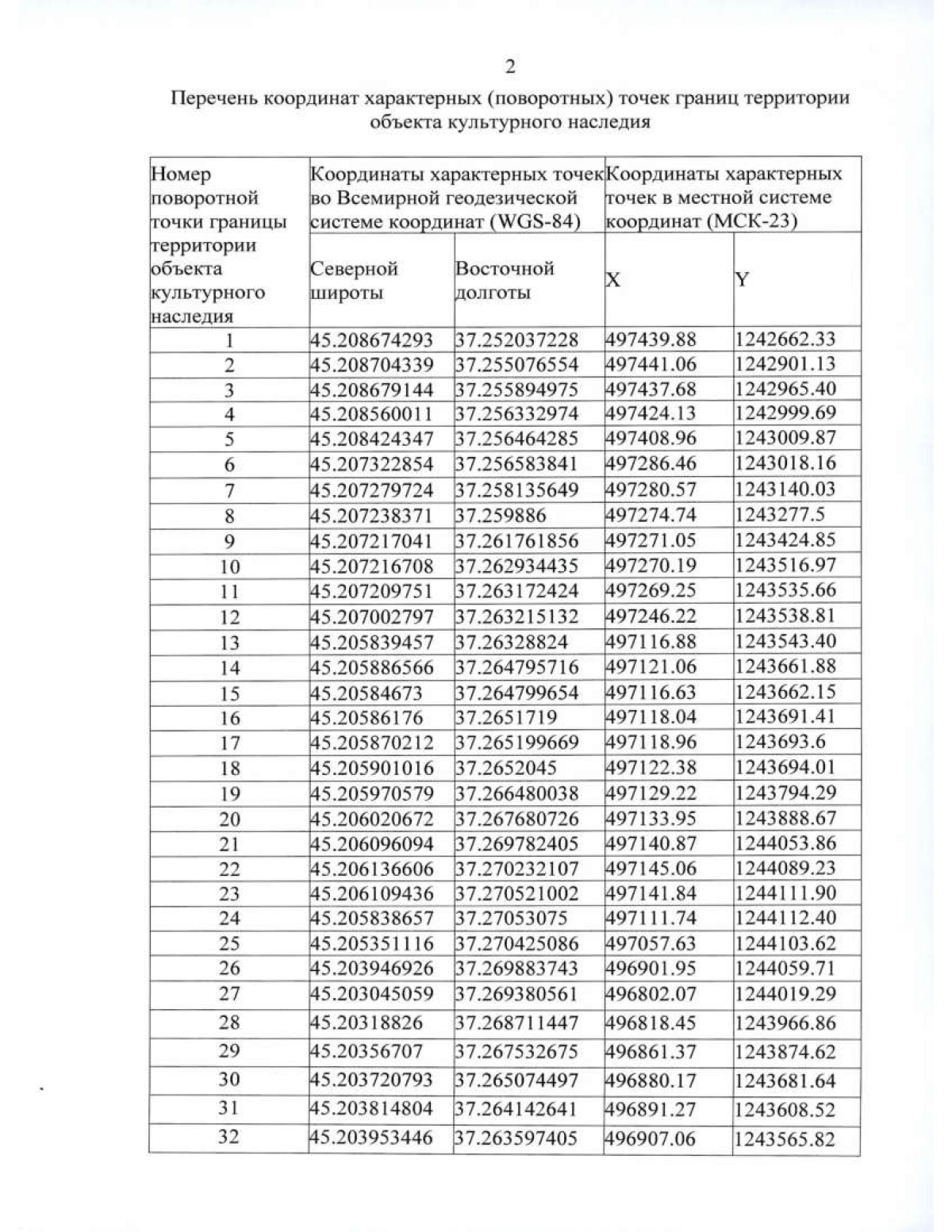
"Об утверждении границ и режима использования территории объекта культурного наследия федерального значения "Поселение", Краснодарский край, Темрюкский район, пос. Стрелка, юго–западная окраина поселка"
Номер опубликования: 2301202510090005
Дата опубликования: 09.10.2025
Страница №4 из 6:
Увеличить