Официальное опубликование правовых актов
ОФИЦИАЛЬНОЕ ОПУБЛИКОВАНИЕ
Приказ министерства культуры Краснодарского края от 05.11.2025 № 421
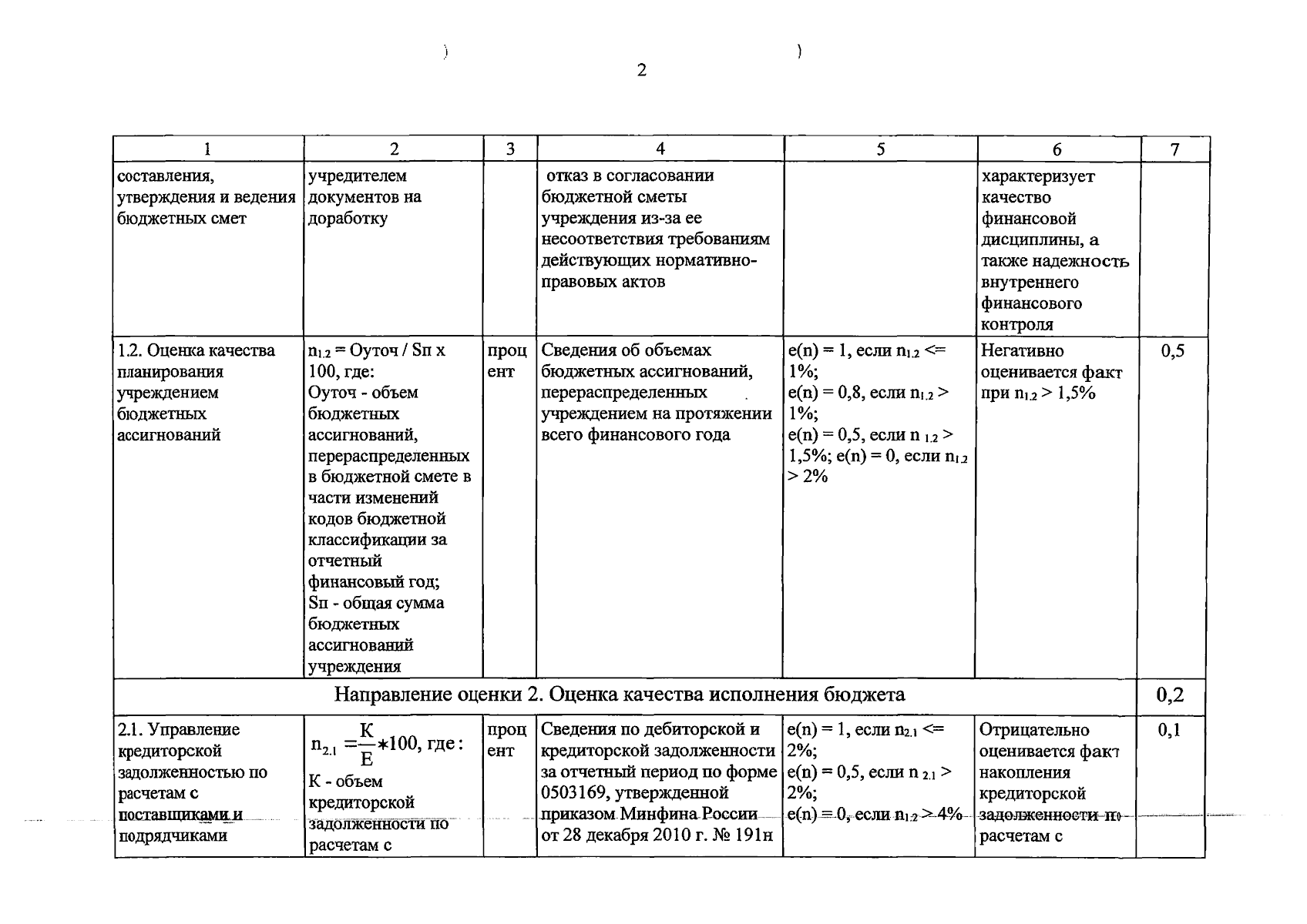
"О внесении изменений в приказ министерства культуры Краснодарского края от 19 ноября 2021 г. № 668 "Об утверждении Порядка проведения мониторинга качества финансового менеджмента администраторов бюджетных средств, подведомственных министерству культуры Краснодарского края"
Номер опубликования: 2301202511130001
Дата опубликования: 13.11.2025
Страница №4 из 18:
Увеличить