Официальное опубликование правовых актов
ОФИЦИАЛЬНОЕ ОПУБЛИКОВАНИЕ
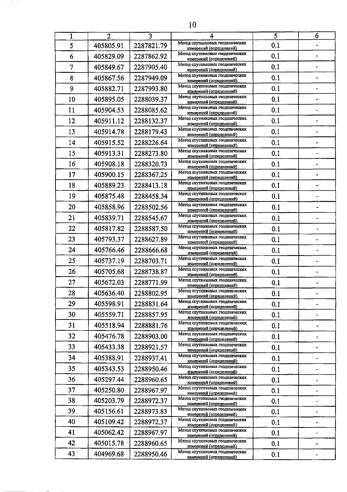
Приказ министерства природных ресурсов Краснодарского края от 11.11.2025 № 1732
"Об установлении зон санитарной охраны источника питьевого и хозяйственно-бытового водоснабжения индивидуального предпринимателя Кубякина Константина Анатольевича в муниципальном образовании Мостовский район"
Номер опубликования: 2301202511180002
Дата опубликования: 18.11.2025
Страница №12 из 16:
Увеличить