Приказ администрации Краснодарского края от 16.12.2025 № 1615-КН
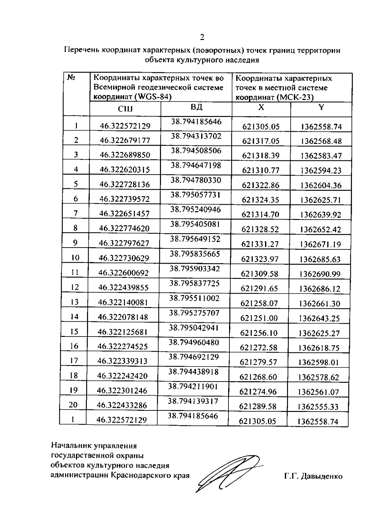
"Об утверждении границ и режима использования территории объекта культурного наследия федерального значения "Курганная группа "Новодеревянковская 8" (3 насыпи)", эпоха бронзы – позднее средневековье, Краснодарский край, Каневской район, ст–ца Новодеревянковская, 1,4 км к востоку от восточной окраины станицы"
"Об утверждении границ и режима использования территории объекта культурного наследия федерального значения "Курганная группа "Новодеревянковская 8" (3 насыпи)", эпоха бронзы – позднее средневековье, Краснодарский край, Каневской район, ст–ца Новодеревянковская, 1,4 км к востоку от восточной окраины станицы"
Номер опубликования: 2301202512220003
Дата опубликования:
22.12.2025
