Приказ администрации Краснодарского края от 16.12.2025 № 1630-КН
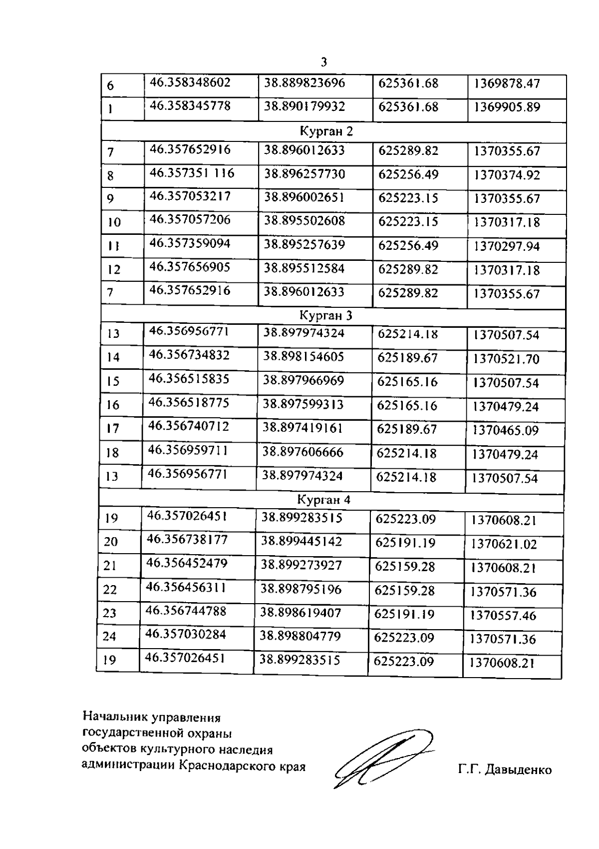
"Об утверждении границ и режима использования территории объекта культурного наследия федерального значения "Курганная группа "Сухая 4" (4 насыпи)", эпоха бронзы – позднее средневековье, Краснодарский край, Каневской район, ст–ца Новоминская, 3,5 км к северо–востоку от северной окраины станицы"
"Об утверждении границ и режима использования территории объекта культурного наследия федерального значения "Курганная группа "Сухая 4" (4 насыпи)", эпоха бронзы – позднее средневековье, Краснодарский край, Каневской район, ст–ца Новоминская, 3,5 км к северо–востоку от северной окраины станицы"
Номер опубликования: 2301202512220019
Дата опубликования:
22.12.2025
